Материал: ГИДРАВЛИаЧАСТЬ 1

Внимание! Если размещение файла нарушает Ваши авторские права, то обязательно сообщите нам

Отметим основные результаты такого анализа.

Дозвуковое движение (при М < 1):

– если сечение убывает, то скорость растет;

– если сечение растет, то скорость убывает.

В сверхзвуковом потоке (при М > 1):

– в диффузоре сечение увеличивается, то же происходит и со скоростью;

– в конфузоре сечение уменьшается, скорость падает.

Таким образом, закономерности движения сжимаемой среды при и совершенно различны (противоположны). Из формулы (2.94) видно, что в канале переменного сечения достичь скорости звука можно только при экстремальном значении При это сделать невозможно, так как сечению предшествует расширяющийся участок, в котором при М < 1 скорость падает, при М > 1 скорость возрастает.

Из формулы (2.94) следует также, что может иметь экстремальное значение при Это значит, что при и при .

Влияние вязкости на характер движения газов в каналах с разной формой поперечного сечения при М < 1 и М > 1 будет рассмотрено в подразд. 2.6.5.

Функция называется функцией тока. Если функция описывает поле скоростей только безвихревого течения, то функция справедлива для любых течений.

Сравнивая выражения (2.96) и (2.97), запишем

; . (2.98)

Уравнения (2.98) называются уравнениями Коши–Римана.

Перемножив уравнения (2.98) крест накрест, получим

. (2.99)

Уравнение (2.99) выражает условие ортогональности линий и , т. е. эквипотенциальные линии и образуют взаимно ортогональную систему.

Функции, для которых выполняются условия (2.98) на комплексной плоскости, могут быть представлены в виде зависимости только от одной комплексной переменной. Такие функции называются комплексным потенциалом, где , . Их особенностью является то, что их действительная часть равна потенциалу скорости, а мнимая − функции тока:

. (2.100)

Рассмотрим несколько конкретных задач, решение которых связано с использованием функции (2.100).

Плоскопараллельные течения. Наиболее простым видом комплексного потенциала является уравнение

, где .

Если , то , , .

Уравнение при − вертикальная линия; (при ) − горизонтальная линия (рис. 2.24).

Рис. 2.24. Схема плоскопараллельного течения

Таким образом, имеет место течение вдоль оси со скоростью .

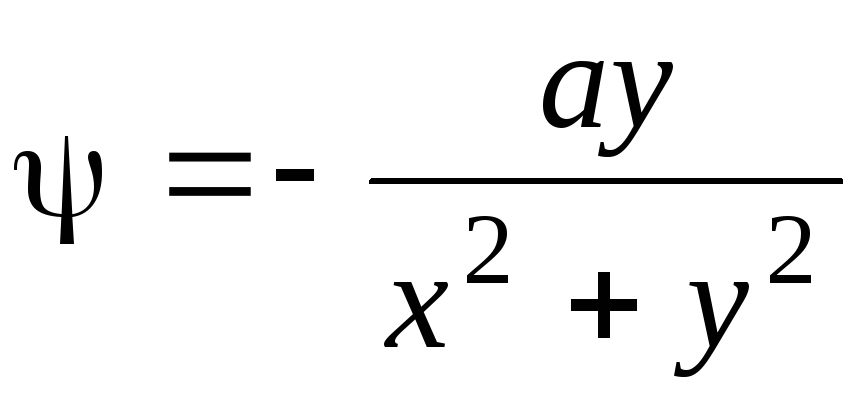
Течение от диполя:

; ,

где − момент диполя.

В этом случае имеем

; .

Уравнение линии тока , тогда

, или ,

т. е. получается уравнение семейства окружностей.

Уравнение линии постоянного потенциала () имеет аналогичный вид:

.

Графически течение от диполя показано на рис. 2.25.

Рис. 2.25. Схема течения от диполя

Обтекание круглого цилиндра. Это течение можно получить наложением плоскопараллельного течения на диполь:

.

Потенциал скорости и функция тока:

,

.

Уравнение линии тока имеет вид . Для нулевой линии тока . В результате получим два уравнения:

и .

Второе уравнение представляет собой уравнение окружности радиусом

.

При движении идеальной жидкости любая линия тока может быть заменена твердой стенкой. В нашем случае замена нулевой линии тока твердой стенкой дает картину обтекания потоком круглого цилиндра. Для определения профиля скорости и давления на поверхности цилиндра представим потенциал скорости в цилиндрических координатах (рис. 2.26):

; ; ; ;

;

;

.

Рис. 2.26. Схема обтекания цилиндра без циркуляции скорости

По поверхности цилиндра , , поэтому

,

при и .