Материал: ГИДРАВЛИаЧАСТЬ 1

Внимание! Если размещение файла нарушает Ваши авторские права, то обязательно сообщите нам

Дальнейшее определение не отличается от определения толщины пленки при однофазном течении (см. подразд. 2.11). Задачу можно упростить, построив предварительно график зависимости по уравнению (2.280). После чего по графику по заданному значению находят и затем решают кубическое уравнение (3.45). При наличии вычислительной техники решение рассмотренных задач не вызывает никаких сложностей.

Гидравлические потери при движении газа относительно пленки в трубе с круглым поперечным сечением можно рассчитать по уравнению

, (3.46)

где − коэффициент гидравлического трения при движении газового потока; − внутренний диаметр газового пространства, здесь − внутренний диаметр трубы; − относительная скорость фаз.

Относительную скорость фаз рекомендуется рассчитывать по следующим формулам:

при прямотоке

; (3.47)

при противотоке

, (3.48) где .

Истинное объемное газосодержание определим из уравнения (3.5). Подставляя в него значения объемов и , найдем

. (3.49)

Коэффициент при прямотоке рассчитывается по формуле

, (3.50)

где слагаемое учитывает образование волн на поверхности пленки.

При противотоке

, (3.51)

где − коэффициент гидравлического трения при движении газа в неорошаемой трубе.

Уравнение (3.51) справедливо при условии

. (3.52)

При

, (3.53)

где .

Так как в газовом потоке , то при расчетах по формуле (3.46) и из уравнения (3.7) .

3.8. Распыление жидкостей

Движение капель жидкости в потоке газа относится к случаю, когда сплошной фазой является газ, а дисперсной – жидкость. В пищевой технологии такие двухфазные системы используются в процессах сушки, абсорбции, очистки воздуха от пыли, дезодорации и аэрации жидкостей.

Основным параметром, характеризующим дисперсионное состояние двухфазной системы, является поверхность контакта фаз, которая, согласно уравнению (3.8), зависит от и . В рассматриваемом случае ÷0,99, т. е. близко к единице, и главное влияние на скорость тепло- и массообменных процессов будет оказывать размер образующихся капель. Диаметр капель определяется способом распыления и величиной подводимой к жидкости энергии.

Рассмотрим наиболее распространенные в промышленности способы распыления жидкостей.

3.8.1. Гидравлический способ

Дробление жидкости на капли происходит при истечении ее под высоким давлением из отверстия форсунки. Гидравлический способ наиболее экономичный. Расход энергии в единицу времени составляет 2–4 Дж/с на 1 кг жидкости. К недостаткам способа относятся высокая неоднородность системы, крупный размер капель и трудность в распылении высоковязких жидкостей.

Наиболее часто для распыления жидкостей гидравлическим способом используются центробежные форсунки (рис. 3.6). Теория движения жидкости в центробежной форсунке раcсмотрена в работе [15]. Остановимся кратко на ее основных положениях.

II

II

I

I

A-A

A

A

vвх

vт

vп

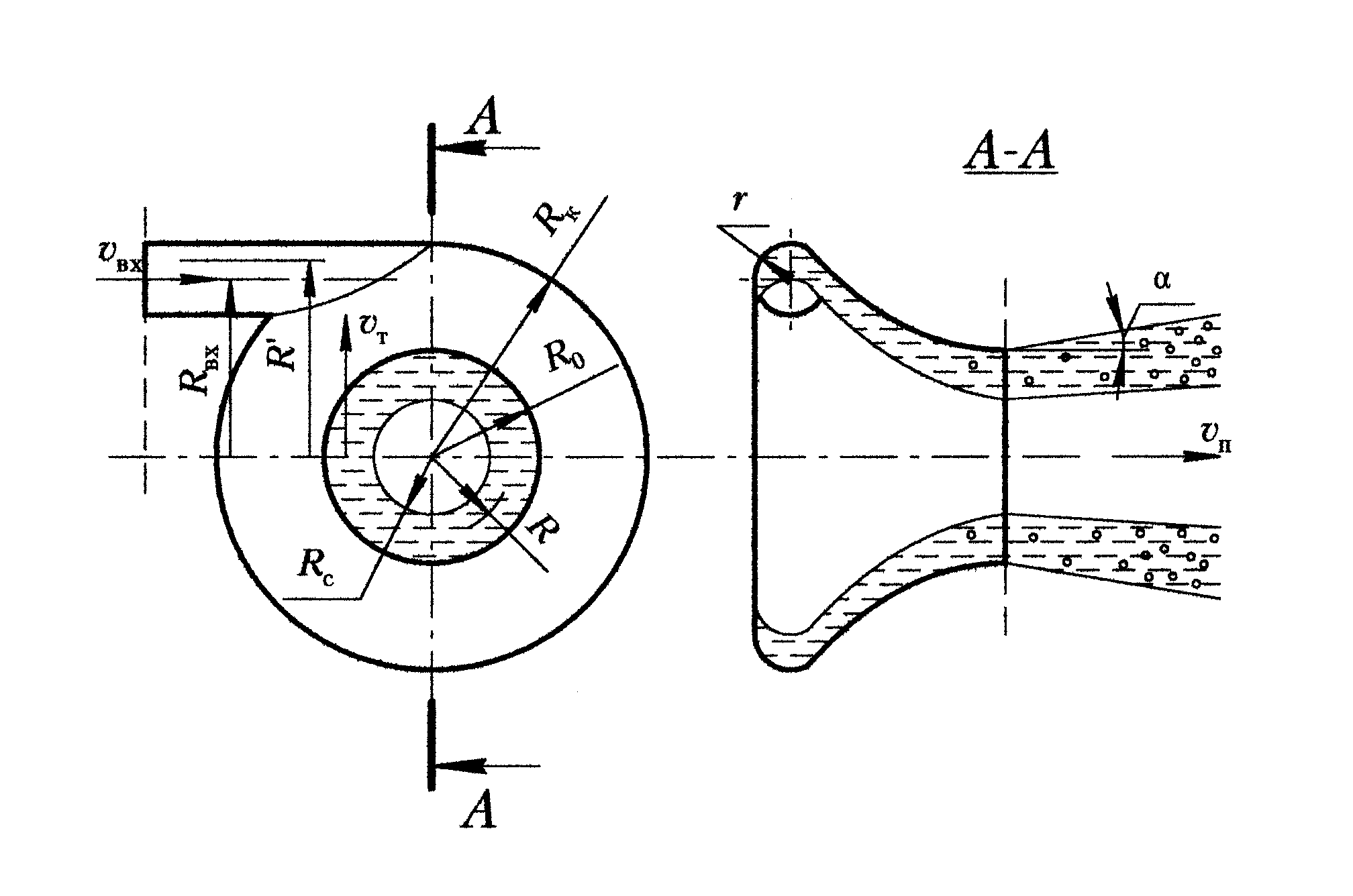
Рис. 3.6. Схема центробежной форсунки

Жидкость через входное отверстие радиусом со скорос- тью поступает тангенциально в камеру радиусом , закручивается и покидает форсунку через выходное отверстие радиусом в виде пленочной струи, образующей факел с углом раскрытия . На некотором расстоянии от торца сопла пленка под действием колебаний, возникающих в результате взаимодействия струи с окружающим воздухом и действия центробежных сил, распадается на капли.

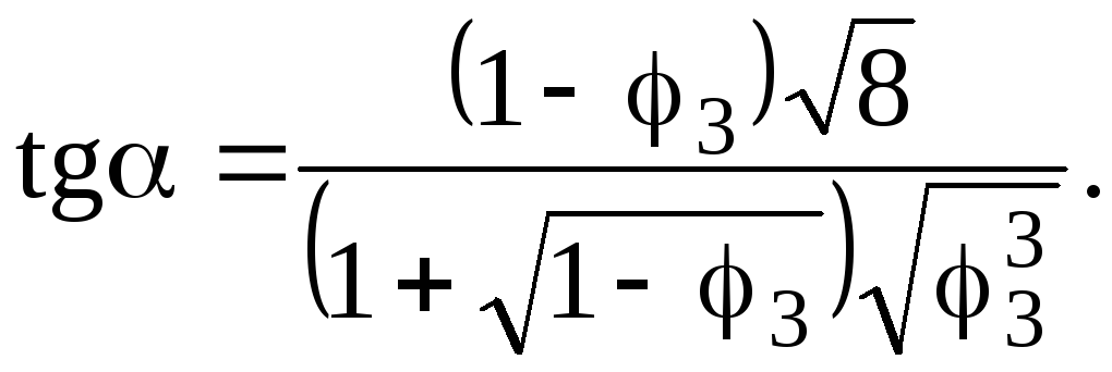
Угол раскрытия факела определяется отношением тангенциальной скорости к поступательной :

. (3.54)

Можно принять, с некоторой долей приближения, равенство моментов количества движения частиц жидкости относительно оси форсунки на входе и выходе:

. (3.55)

Найдем давление в выходном отверстии сопла, составив уравнения Бернулли для сечений I–I и II–II (см. рис. 3.6):

, (3.56)

где сумма – располагаемый напор на входе в форсунку.

Подставляя уравнение (3.55) в выражение (3.56), получаем

, (3.57) где – текущий радиус входного патрубка.

Из уравнения (3.57) следует, что при давление стремится к бесконечно большой отрицательной величине, чего не может быть в принципе. Давление в выходном отверстии форсунки не может быть меньше давления вне ее. Поэтому центральная часть форсунки не заполнена жидкостью, в ней образуется газовый вихрь, давление в котором равно давлению за форсункой. Жидкость в таком случае вытекает из выходного отверстия в виде пленки кольцевого сечения площадью

, (3.58)

где – коэффициент заполнения.

Произведение

(3.59)

называется приведенной скоростью истечения жидкости из форсунки.

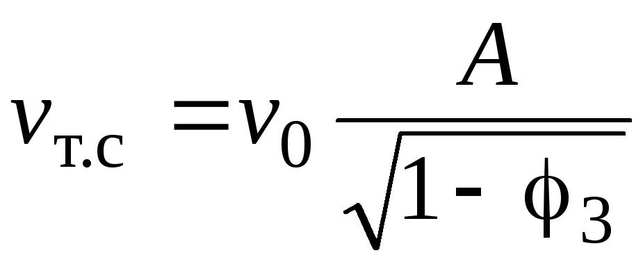
В таком случае расход жидкости

. (3.60)

С другой стороны,

, (3.61)

где – число входных отверстий форсунки; – их внутренний радиус.

Из уравнений (3.55), (3.60) и (3.61) следует

;

.

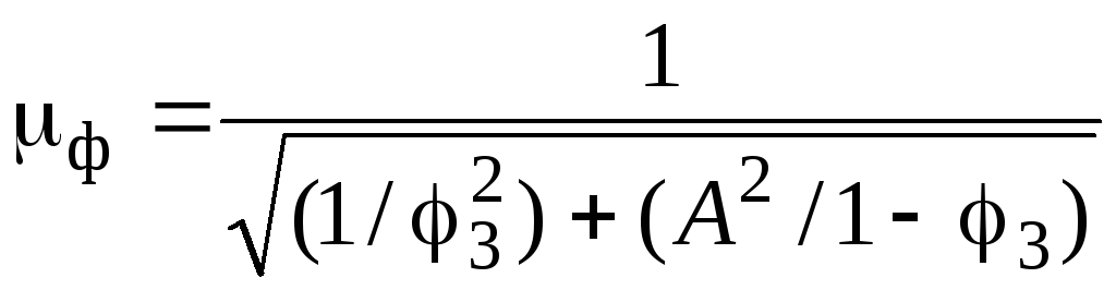
Полагая , можно записать, что тангенциальная скорость у стенки камеры

, (3.62)

а скорость на границе раздела фаз

. (3.63)

Из уравнений (3.62) и (3.63) получим

. (3.64)

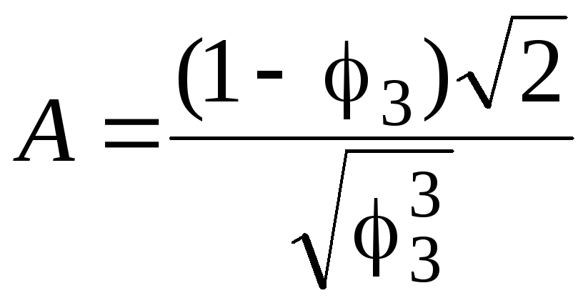
Обозначив

,

приведем уравнение (3.64) к виду

. (3.65)

Величина зависит только от геометрических параметров форсунки.

Так как в газовом вихре избыточное давление равно нулю, то из уравнений (3.57) и (3.65) можно получить

. (3.66)

Из уравнения (3.66) найдем расход жидкости:

(3.67)

где – коэффициент расхода форсунки,

; (3.68)

– площадь проходного сечения сопла.

Геометрическая характеристика форсунки и коэффициент расхода являются основными параметрами форсунки. Связь между ними может быть установлена из условия максимального расхода:

(3.69)

Из формулы (3.68) следует

; (3.70)

(3.71)

Угол раскрытия факела рассчитывается по уравнению

(3.72)

Следует отметить, что приведенные зависимости описывают движение идеальной жидкости. Тем не менее они правильно отражают влияние различных факторов на работу центробежных форсунок.

Влияние вязкости на характер течения сказывается при небольших значениях Рейнольдса

,