Материал: ГИДРАВЛИаЧАСТЬ 1

Внимание! Если размещение файла нарушает Ваши авторские права, то обязательно сообщите нам

2.4.2. Одномерное движение сжимаемого газа

Одномерное течение отличается изменением параметров потока только в одном направлении. Уравнения этих течений являются частными случаями общих уравнений движения.

Уравнение неразрывности (сохранения массы) для сжимаемой среды запишем в форме

(2.79)

Уравнение переноса импульса. Из уравнения (2.72) для установившегося одномерного потока и при следует

(2.80)

Интегрируя выражение (2.80), получим В итоге пришли к уравнению Бернулли (2.78). Таким образом, мы пришли к выводу, что для изоэнтропийного потока уравнения переноса импульса и энергии тождественны.

В уравнении (2.78) первое слагаемое есть удельная энтальпия

(2.81)

С учетом выражения (2.81) уравнение (2.78) примет вид

(2.82)

Постоянную найдем из условия полного торможения потока, т. е. при :

(2.83)

где – удельная энтальпия заторможенного потока; – параметры заторможенного потока. При полном торможении вся кинетическая энергия потока переходит в теплоту.

Из уравнения (2.82) с учетом формулы (2.83) следует

(2.84)

Часто используют и другие формы записи уравнения (2.84):

(2.85)

или

2.4.3. Скорость звука

Скорость звука – это скорость распространения малых возмущений в данной среде. В целях вывода зависимости для ее расчета обратимся к основам теории ударных волн. Предположим, что в сечении II канала возникла сильная волна сжатия, которая за время переместится на расстояние в сечение II–II (рис. 2.23).

Рис. 2.23. Схема распространения малых возмущений

Скорость движения волны составляет приращение давления а приращение плотности Под действием перепада давления за счет изменения плотности внутрь объема втекает масса газа где – живое сечение канала. С другой стороны, из уравнения неразрывности потока следует В таком случае

. (2.86)

Зависимость (2.86) обусловливает взаимосвязь скорости распространения волны и скорости газа, движущегося позади фронта волны в том же направлении.

Теперь воспользуемся законом изменения количества движения для газа в объеме dV: изменение количества движения равно импульсу силы, вызванной разностью давлений в сечениях I–I и II–II:

Решая данное уравнение совместно с зависимостью (2.86), получаем

(2.87)

В случае слабой волны тогда

(2.88)

Слабая волна является не чем иным, как акустической волной, поэтому формула (2.88) определяет скорость звука . Из сопоставления уравнений (2.87) и (2.88) следует, что скорость распространения сильной волны сжатия всегда больше скорости звука.

Считая распространение звуковых волн изоэнтропийным, из уравнений (1.4) и (2.88) имеем

(2.89)

Отношение скорости течения потока к скорости звука называется числом Маха:

. (2.90)

По значению числа Маха потоки делятся:

– на дозвуковые, когда ;

– на звуковые, когда ;

– на сверхзвуковые, когда .

Газы можно считать несжимаемыми средами, если

2.4.4. Движение газов в канале с переменной площадью

живого сечения

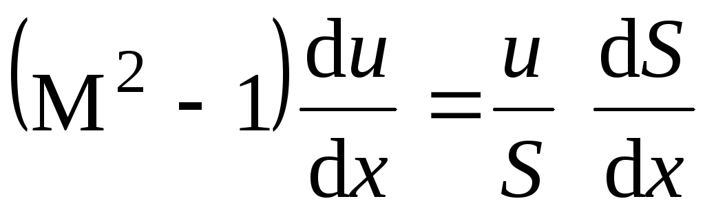
Нашей задачей является установление закономерностей движения сжимаемого газа при M < 1 и M > 1. Для этой цели используем уравнения (2.79) и (2.80).

Продифференцируем равенство (2.79):

или . (2.91)

После деления равенства (2.91) на произведение запишем

(2.92)

Имея в виду, что для изоэнтропного процесса в баротропной среде представим отношение в следующем виде:

(2.93)

Из уравнений (2.92) и (2.93) следует

Подставив из уравнения (2.80), получим

Группируя слагаемые и вынося за скобку произведение , запишем

Так как , то

. (2.94)

Уравнение (2.94) позволяет провести качественный анализ изменения параметра движения в канале с переменным сечением (таблица).

Число Маха

М

Производная

скорости

Изменение сечения

Отметим основные результаты такого анализа.

Дозвуковое движение (при М < 1):

– если сечение убывает, то скорость растет;

– если сечение растет, то скорость убывает.

В сверхзвуковом потоке (при М > 1):

– в диффузоре сечение увеличивается, то же происходит и со скоростью;

– в конфузоре сечение уменьшается, скорость падает.

Таким образом, закономерности движения сжимаемой среды при и совершенно различны (противоположны). Из формулы (2.94) видно, что в канале переменного сечения достичь скорости звука можно только при экстремальном значении При это сделать невозможно, так как сечению предшествует расширяющийся участок, в котором при М < 1 скорость падает, при М > 1 скорость возрастает.

Из формулы (2.94) следует также, что может иметь экстремальное значение при Это значит, что при и при .

Влияние вязкости на характер движения газов в каналах с разной формой поперечного сечения при М < 1 и М > 1 будет рассмотрено в подразд. 2.6.5.