Материал: ГИДРАВЛИаЧАСТЬ 1

Внимание! Если размещение файла нарушает Ваши авторские права, то обязательно сообщите нам

(2.116)

где

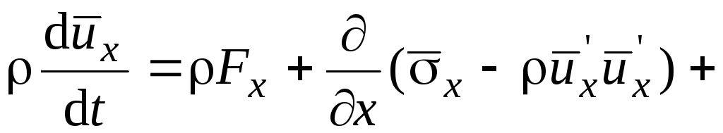
Аналогичные уравнения можно записать для осей 0y и 0z. Эти уравнения получены О. Рейнольдсом и носят его имя.

Уравнения Рейнольдса и неразрывности потока образуют незамкнутую систему, так как в нее входят шесть неизвестных пульсационных составляющих, для нахождения которых требуются дополнительные уравнения. Законы распределения турбулентных пульсаций будут рассмотрены в подразд. 2.5.8.

2.5.2. Гидродинамическое подобие

Различают геометрическое, кинематическое и динамическое подобие потоков. Геометрическое подобие заключается в подобии сходных геометрических размеров; кинематическое – в подобии скоростных полей; динамическое – в подобии силовых полей. Последнее подобие невозможно без выполнения первых двух.

Соблюдение условий подобия необходимо при моделировании машин, аппаратов и процессов, происходящих в них. Исследуя модель и используя условия подобия, можно перенести результаты исследований на реальный объект.

Условия гидродинамического подобия можно получить из уравнений (2.45), приводя их к безразмерному виду. Для этого введем безразмерные величины, выразив их через соответствующие масштабы: L – масштаб длины, – масштаб скорости, – масштаб времени, – масштаб массовых сил, – масштаб давления. В этом случае безразмерные величины будут таковы:

(2.117)

В формулах (2.117) индексом «=» обозначены безразмерные параметры.

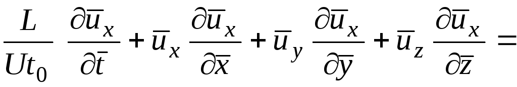
Ограничиваясь осью , преобразуем уравнение (2.45) с учетом формул (2.117); сократив его стороны на отношение , получим уравнение движения в безразмерном виде:

(2.118)

Вошедшие в уравнение (2.118) безразмерные коэффициенты являются критериями подобия, которые названы именами известных ученых, внесших большой вклад в развитие науки о движении жидких сред:

(2.119)

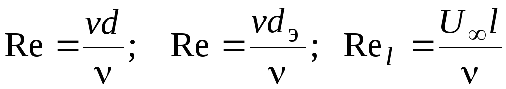
где St – критерий Струхаля; Fr – критерий Фруда; Eu – критерий Эйлера; Re – критерий Рейнольдса.

Для подобных процессов одноименные критерии подобия должны быть равными.

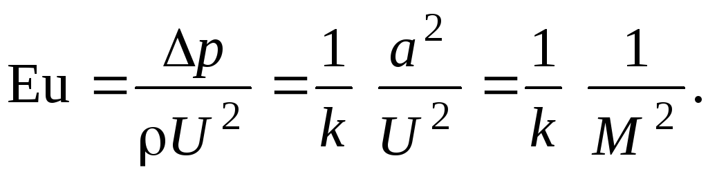
Для сжимаемой жидкости критерий Эйлера имеет вид

Критерии подобия имеют вполне определенный физический смысл и выражают отношение определяющих сил, действующих в потоке: St – соотношение сил инерции, вызванных локальными и конвективными ускорениями; Eu – отношение сил давления к силам инерции; Re – отношение сил инерции к силам вязкого трения; Fr – отношение сил инерции к массовым силам.

Критерии подобия можно получить не прибегая к операции приведения дифференциальных уравнений движения жидкости к безразмерному виду. Это можно сделать проще, взяв соотношения любых сил, действующих в потоках, как в однофазных, так и многофазных.

Рассмотрим влияние сил инерции и сил трения . Запишем, чему равны эти числа:

;

,

где m − масса элемента жидкости; V − его объем; − плотность; a − ускорение; S − площадь трения.

Перейдем от равенств к пропорциональностям, введя характерные величины L, U, t:

; .

Определим отношение сил:

.

Таким образом мы получили критерий Рейнольдса.

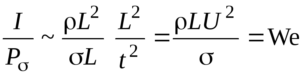
П р и м е р. Получить критерий подобия, характеризующий взаимоотношение сил инерции и сил поверхностного натяжения. Такие взаимодействия имеют место на поверхности раздела жидкость–газ, например движение жидкой струи в газовой среде, движение газовых пузырьков в жидкости. Эти вопросы мы рассмотрим несколько позднее.

Решение. Определим силы. Мы уже установили, что . Сила поверхностного натяжения .

Отношение сил

называется критерием Вебера.

Выбор линейного размера в критериях подобия зависит от постановки задачи. Независимо от вида движения при решении задач гидродинамики вводятся понятия гидравлического радиуса и эквивалентного диаметра в качестве характерных геометрических размеров. Под гидравлическим радиусом понимают отношение площади затопленного поперечного сечения трубопровода, через который протекает жидкость, к смоченному периметру П:

. (2.120)

Отсюда, например, для круглого трубопровода диаметром получается

(2.121)

Выражая через , имеем . Диаметр, выраженный через гидравлический радиус, называется эквивалентным диамет- ром . Поэтому из уравнений (2.120) и (2.121) следует

(2.122)

Таким образом, исходя из формул (2.120) и (2.122), например, для трубопровода прямоугольного живого сечения со сторонами и получаем

(2.123)

Уравнение (2.123) можно представить в ином виде:

. (2.124)

При ; канал, удовлетворяющий этому условию, называется каналом бесконечной ширины.

При стекании жидкости по поверхности в виде пленки толщиной площадь ее поперечного сечения . Подставив значе- ние в равенство (2.122), получим .

Можно легко доказать, что для трубопровода с круглым поперечным сечением . Таким образом, эквивалентный диаметр равен диаметру гипотетического трубопровода круглого сечения, для которого отношение площади к смоченному периметру П имеет то же значение, что и для трубопровода некруглого сечения. Введение понятий позволяет унифицировать многие расчеты в задачах движения жидкостей.

2.5.3. Уpавнение Беpнулли для потока вязкой жидкости

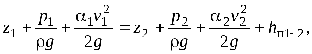
В отличие от идеальной, движение вязкой жидкости сопровождается потерей энергии на преодоление сил гидравлического трения, равной разности полных удельных энергий В таком случае, согласно зависимости (2.76а), уpавнение Беpнулли для элементаpной стpуйки вязкой жидкости можно пpедставить в виде

(2.126)

Полная энеpгия потока в любом сечении

(2.127)

где – весовой расход через сечение элементарной струйки.

После интегpиpования уpавнения (2.127), с учетом выражения (2.126), получим уpавнение Беpнулли для потока вязкой жидкости:

(2.128)

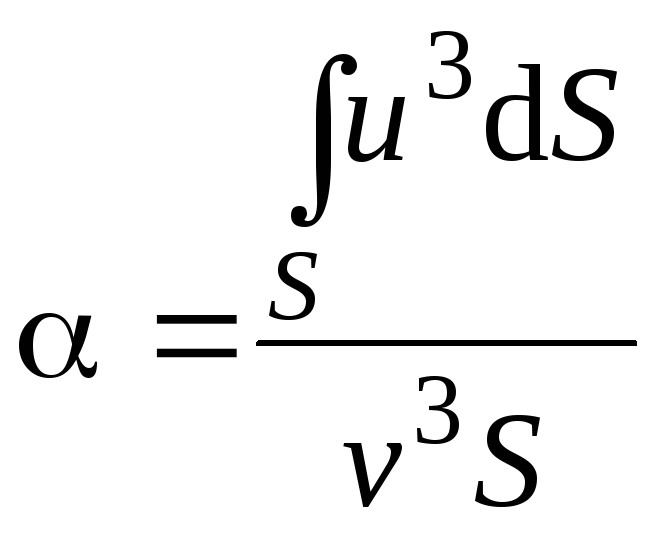
где и – коэффициенты кинетической энеpгии,

.

Коэффициенты и показывают, во сколько раз кинетическая энергия, вычисленная по локальным скоростям, выше кинетической энергии, рассчитанной по средней скорости. Их еще называют коэффициентами неравномерности распределения локальной скорости по сечению потока. Величина зависит от pежимов течения. Подставив в последнее равенство значения и из уравнений (2.149) и (2.150) (см. подразд. 2.5.4), можно убедиться, что при ламинарном течении жидкости в трубопроводе с круглым поперечным сечением , пpи турбулентном – значение близко к единице.

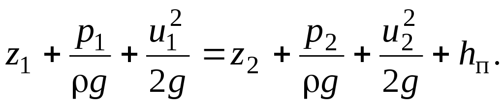
Геометрический и энергетический смысл уравнения Бернулли для случая плавно изменяющегося потока реальной жидкости иллюстрирует рис. 2.29. В трех произвольно выбранных живых сечениях II, II–II и II−III размещены измерительные стеклянные трубки − пьезометры и трубка Пито. У последней наконечник загнут навстречу потоку. Нижние и верхние концы трубки Пито и пьезометра являются открытыми, поэтому трубка Пито показывает в натуральную величину суммы пьезометрического и скоростного напоров , а пьезометр – величину пьезометрического напора . Следовательно, разность их показаний равна скоростному напору . Полные (гидродинамические) напоры в сечениях II, II–II и II−III равны с соответствующими индексами, а потери напора между сечениями определяются их разностью:

При продольном обтекании потоком тонкого профиля за характерный размер принимается его длина . За масштаб скорости при движении жидкости в каналах принимается средняя скорость , при обтекании тонких профилей − скорость набегающего потока . С учетом сказанного критерий Рейнольдса может принимать следующие виды:

; . (2.125)