![]()
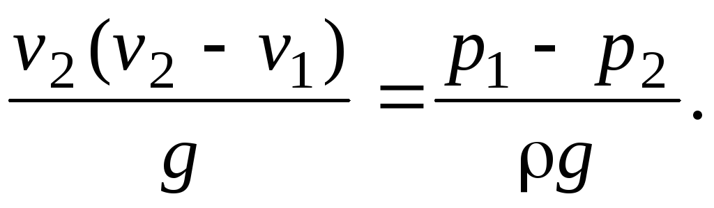
На рис. 2.29 плоскостью сравнения, от которой производится отсчет нивелирных высот, является горизонтально расположенная плоскость 0–0. Линия Р–Р, соединяющая уровни жидкости в пьезометрах, называется пьезометрической, а линия Е–Е, проведенная через горизонты жидкости в трубках Пито, называется напорной. Отличительным свойством напорной линии является то, что она всегда расположена нисходящим образом по направлению движения потока. Пьезометрическая же линия может занимать и восходящее положение (при расширении трубопровода, как это показано на рис. 2.29 между сечениями II−III).
I
I
II
II
III
III
![]()
![]()
![]()
![]()
![]()
![]()
![]()
![]()
![]()
![]()
![]()
![]()
![]()
![]()
![]()
![]()
![]()
![]()
![]()
![]()
![]()
Рис. 2.29. Изменение удельной энергии в потоке реальной жидкости
Следует отметить, что для идеальной
сплошной среды, ввиду отсутствия ее
вязкости, потери напора
,
поэтому напорная
линия заняла бы
горизонтальное положение (пунктирная
линия
на рис. 2.29). В этом случае
увеличение удельной кинетической
энергии сопровождалось бы в точности
равновеликим уменьшением удельной
потенциальной энергии.
Потеpи энеpгии на преодоление гидpавлического
тpения (потери напора)
условно pазделяются на два вида – потеpи
по дли-
не
и местные потеpи
.
Общие потеpи есть аpифметическая сумма
всех потеpь.
Потери энеpгии по длине имеют место на
пpямолинейных участках трубопроводов
пpи постоянной скоpости движения жидкости.
Отношение потерь по длине к длине канала
называется гидравлическим уклоном:
.
Местные потеpи возникают там, где пpоисходит изменение скоpости потока по величине и (или) напpавлению. Пpимеpом этому могут служить pасшиpение канала, сужение, повоpоты, наличие задвижки, кpана, вентиля и т. п.
Потери напора
на преодоление какого-либо местного
сопротивления принято считать
пропорциональным скоростному напору
и определять по формуле Вейсбаха:
(2.129)
где
–
коэффициент местного сопротивления;
– средняя скорость потока непосредственно
за рассматриваемым местным сопротивлением
(считая по направлению движения потока).
Значения коэффициентов местных сопротивлений находят, как правило, из справочной литературы [2, 3], поскольку для большинства видов местных сопротивлений они определены на основании опытных данных (см. табл. 24 прил.).
Для некоторых практически важных случаев
значения
удается получить теоретическим путем.
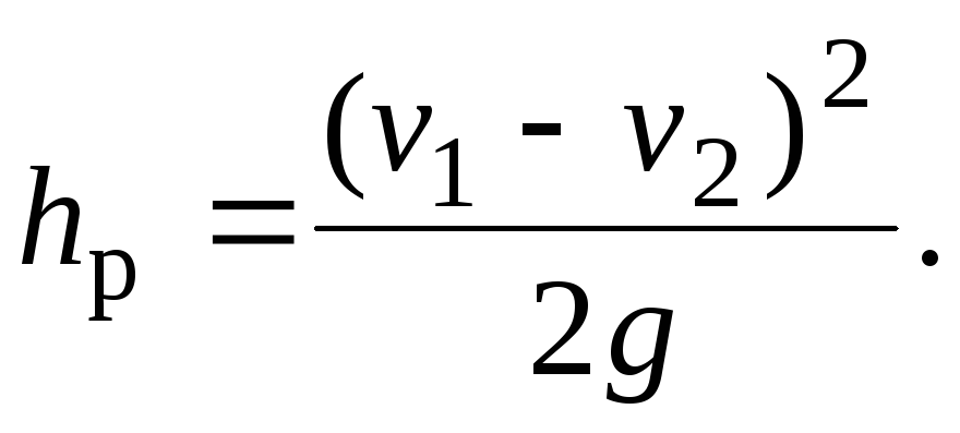
Рассмотрим один из этих случаев –
внезапное расширение трубопровода
(рис. 2.30).
I
I
II
II
![]()
![]()
Рис. 2.30. Схема движения жидкости при внезапном расширении потока
При прохождении потока через внезапное
расширение происходит его отрыв от
стенок, и жидкость движется вначале в
виде струи, отделенной от остальной
жидкости поверхностью раздела. Последняя
неустойчива, на ней возникают вихри, в
результате чего струя перемешивается
с окружающей жидкостью. Именно на
образование вихрей расходуется основная
доля энергии в местных сопротивлениях.
На некотором расстоянии
от расширения струя заполняет все
поперечное сечение. На участке
происходит изменение профиля скоростей.
Для решения поставленной задачи
используем уравнение Бернулли, составив
баланс энергии в сечениях I–I
и II–II.
Полагая кинетические коэффициенты в
уравнении Бернулли
находим из него потери напора при
расширении:
. (2.130)
Преобразуем данное выражение, используя теорему импульсов: изменение количества движения между сечениями I–I и II–II равно сумме импульсов сил, действующих на объем жидкости между этими сечениями. Согласно теореме запишем
![]()
Имея в виду, что
и разделив это выражение на
запишем
(2.131)
После подстановки равенства (2.131) в формулу (2.130) получаем
,
или
(2.132)
Из зависимости (2.132) следует, что потери
напора при внезапном расширении равны
скоростному напору от потерянной
скорости. Данная зависимость называется
формулой Борда. Преобразуем ее и, зная,
что
,
запишем
(2.133)
Сравнивая формулу (2.133) с формулой (2.129), убеждаемся, что коэффициент гидравлического сопротивления при внезапном расширении
(2.134)
Потери напора, вызванные внезапным расширением, могут быть весьма значительными. Для их снижения целесообразно выполнять плавный переход от узкого сечения к широкому.
Следует иметь в виду, что арифметическое суммирование величин местных потерь напора в каждом местном сопротивлении для нахождения общей потери справедливо в том случае, если отдельные местные сопротивления отстоят друг от друга на расстоянии не менее чем 20–50 значений диаметра трубопровода. Принцип арифметического суммирования местных потерь называют принципом наложения потерь.
Справочные сведения о коэффициентах сопротивления для наиболее важных практических случаев приводятся в приложении.
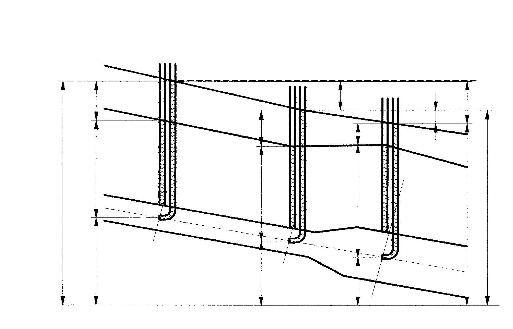
Равномерным называется установившееся
движение с постоянной по величине и
направлению скоростью. Исходя из этого
рассмотрим случай движения жидкости
по каналу постоянного живого сечения
имеющего смоченный периметр П и
расположенного под углом
к горизонту (рис. 2.31).





Рис. 2.31. Схема равномерного движения потока жидкости
Проведя живые сечения I–I
и II–II на
расстоянии
друг от друга, выделим объем жидкости
ABCD. Внешними силами, воздействующими
на него, являются силы давления
и сила тяжести
![]()
где
– давления в центрах тяжести сечений
I–I и II–II
(им отвечают пьезометрические высоты
).
Действию этих сил оказывают сопротивление силы внутреннего трения в жидкости и силы трения жидкости о стенки трубопровода. Суммарный эффект этих сил сопротивления можно определить в виде общей силы сопротивления
,
где
– касательное напряжение.
Проецируя указанные выше силы на продольную ось канала, имеем
![]()
С учетом того, что
запишем
. (2.135)