где
.
Таким обpазом, мы вновь пришли к уpавнению Даpси–Вейсбаха (2.148).
Аналогичные решения можно выполнить для каналов с любой фоpмой попеpечного сечения. Пpи этом в каждом случае будем получать закон сопpотивления движению в виде зависимостей (2.148), (2.152). В общем виде можно записать
(2.153)
Пpизнаком ламинаpного течения является m = 1. Значение A зависит от фоpмы попеpечного сечения канала; напpимеp, для кольцевого канала A = 48, а для квадpатного – A = 56.
Следует иметь в виду, что уравнения (2.152) и (2.153) пригодны для расчетов потерь энергии по длине трубопроводов и при турбулентном режиме, о чем будет говориться в подразд. 2.5.7.
Течение Куэтта имеет место в том случае, если одна из поверхностей, образующих канал, движется вдоль оси 0х (рис. 2.34). Такие течения наблюдаются в зазорах между валом и корпусом подшипника скольжения, в роторно-пленочных и скребковых теплообменных аппаратах между торцами лопастей (скребков) и корпусом аппарата, в стерилизаторах фрикционного типа, в которых нагрев продукта происходит за счет теплоты, выделенной в результате трения жидкости при движении ее между вращающимися и неподвижными дисками или цилиндрами.

Рис. 2.34. Схема течения Куэтта
Пусть одна из поверхностей неподвижна
и ориентирована вдоль оси 0х, другая
расположена по отношению к первой под
углом
и движется со скоростью
(см.
рис. 2.34). Угол
будем считать достаточно малым, т. е.
.
Так же, как и ранее, примем
и
В отличие от предыдущих двух задач, в
уравнении (2.140) остается сила инерции,
характеризуемая конвективным ускорением
.
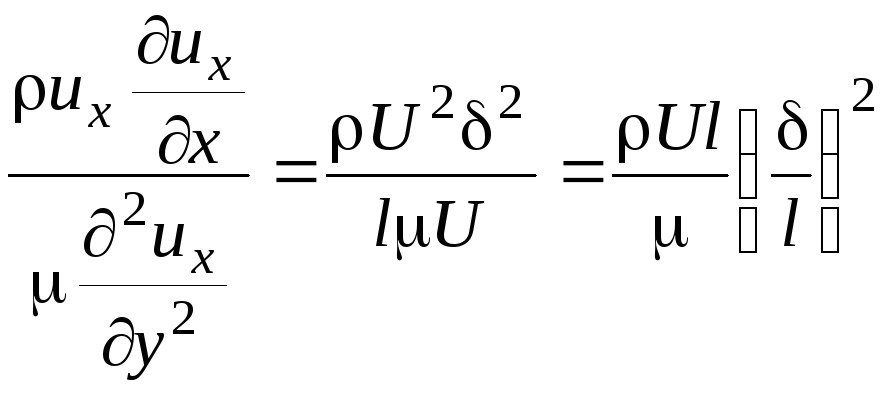
Оценим ее порядок в сравнении с величиной,
характеризующей силу трения
.
Значением
можно пренебречь, если отношение сил
инерции к силам трения меньше единицы.
Так как
,
то соотношение этих сил составит
. (2.154)
Выражение (2.154) носит название модифицированного критерия Рейнольдса [4]:
![]()
Во многих конкретных случаях, особенно
при течении высоковязких жидкостей
(
),
можно пренебречь и инерционными силами,
вызванными ускорением
.
Вполне допустимо другое условие –
производная
,
так как она в
раз меньше производной
.
С учетом изложенных особенностей вновь
приходим к уравнению (2.142) с той лишь
разницей, что
.
Проинтегрировав его дважды, получим
![]()
Постоянные
и
определяют, исходя из условий
при
Тогда
![]()
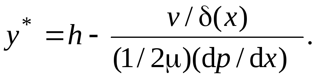
Окончательное выражение для поля скоростей будет иметь вид
(2.155)
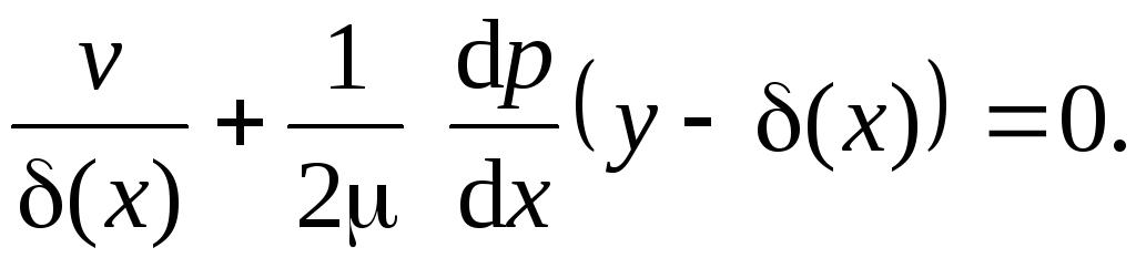
Из него следует, что нулевое значение
скорость
принимает при
,
а также при следующем условии:
![]()
Исходя из данного условия поперечная
координата, при которой
,
(2.156)
Соответственно этому результату на
рис. 2.34 изображено поле скоростей,
описываемое зависимостью (2.155). При
наличии положительного градиента
давления
происходит образование так называемого
отрывного течения, при котором слои
жидкости, находящиеся возле неподвижной
плоскости, движутся в сторону,
противоположную перемещению верхней
плоскости. Причина этого явления
заключается в совместном действии
положительного градиента давления и
вязкого трения о неподвижную плоскость.
Если поверхности (рис. 2.35) располагаются
параллельно друг другу, то
тогда формула (2.155) принимает вид
. (2.157)
Распределение скоростей для различных случаев течения жидкости показано на рис 2.35, принципиально оно не отличается от распределения, изображенного на рис. 2.34.
а б в

Рис. 2.35. Схема движения Куэтта при различных градиентах давления:
а –
;
б –
в –
![]()
П р и м е р 1. Смазочное масло движется в
зазоре подшипника скольжения (рис.
2.36). Диаметр вала
м; зазор
частота вращения вала
ширина подшипника
м.
Плотность масла
;
его динамическая вязкость
удельная теплоемкость
= 3200 Дж/кг
Объемный расход масла
Определить, на сколько градусов нагреется
масло при прохождении через подшипник.

Рис. 2.36. Схема подшипника скольжения
Решение. Для решения задачи необходимо определить энергию, которая выделяется за единицу времени в результате действия сил трения, т. е. найти мощность сил трения. С этой целью определяем силу трения:
![]()
Будем считать, что течение жидкости
подчиняется закону Ньютона (1.6), т. е.
Движение жидкости в зазоре представляет
собой течение Куэтта. В первом приближении
пренебрегаем перепадом давления по
длине зазора, т. е. считаем
Тогда, согласно выражению (2.157), уравнение
(1.6) можно представить в виде
и
сила трения составит
![]()
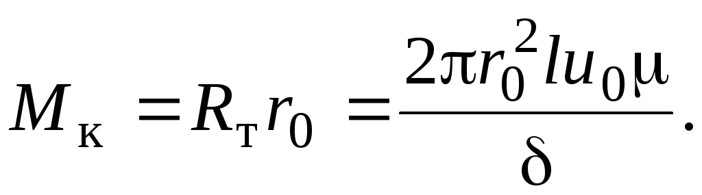
Крутящий момент силы трения
![]()
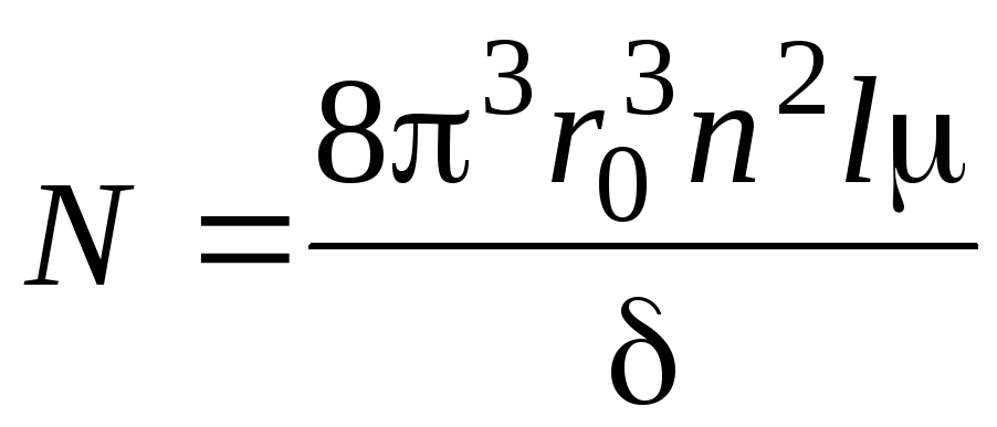
Количество теплоты, выделяющейся в результате трения, равно мощности сил трения и составляет
![]()
Так как
,
то
. (2.158)
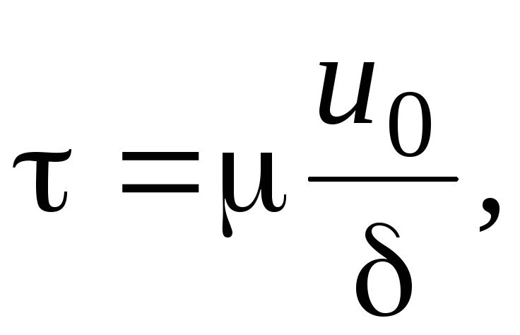
Энергия, которая диссипируется в единице объема жидкости,
![]()
Из уравнения энергии (2.52) получаем
или
(2.159)
Так как во время нагрева из физических
констант в наибольшей мере изменяется
вязкость (
можно принять постоянными), то в равенство
(2.159) необходимо ввести зависимость
вязкости от температуры
С учетом принятых допущений запишем
(2.160)
Разделяя переменные и интегрируя от 0
до
и от
до
,
получим

Так как
– объемный расход, то
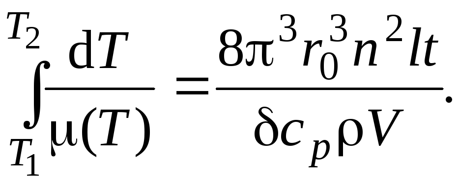
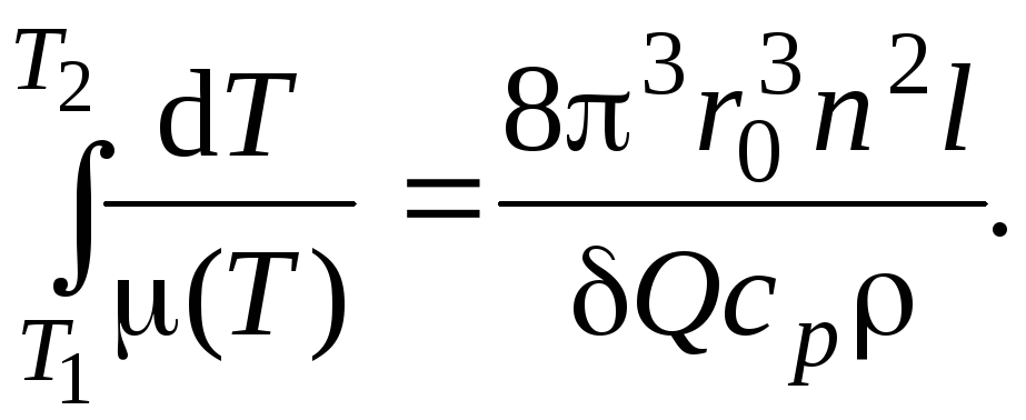
(2.161)
В первом приближении примем
Подставив в уравнение (2.161) заданные в
условии задачи величины, получим
град.
Поскольку температура масла повысилась
ненамного, то принятое условие
можно считать оправданным и результат
решения
град окончательным. Однако в целях
поддержания температуры на заданном
уровне необходимо при проектировании
машины предусмотреть теплообменник
для охлаждения масла в системе смазки.