Материал: fomin-n-v-sistemy-upravlenija-elekt-437151079-unlocked

Внимание! Если размещение файла нарушает Ваши авторские права, то обязательно сообщите нам

Для схемы, представленной на рис.В.7, справедливо следующее уравнение (с учетом фильтрации выходного напряжения датчика момента нагрузки):

 

u

 

= (u

R2

u

 

R

C p)

1

 

.

(В.21)

 

 

 

R2C2p +1

 

 

ом

 

от R1

 

ос

 

2 1

 

 

 

Из сравнения уравнений (В.20) и (В.21) получаются выражения

для

расчета

параметров

датчика

момента

 

нагрузки:

R2 / R1 =1; R2C1 = Tд ; R2C2 = Tф .

Недостатком схемы датчика измерения нагрузки (рис.В.7) является необходимость прямого дифференцирования сигнала обратной связи по скорости. Т. к. в выходном напряжении тахогенератора присутствуют высокочастотные помехи от оборотных, зубцовых, полюсных и коллекторных пульсаций, то на выходе датчика момента произойдет значительное усиление сигнала помехи из – за дифференцирования сигала обратной связи по скорости. Для снижения действия помехи необходимо выполнить фильтрацию выходного напряжения датчика момента, подключив в цепь обратной связи операционного усилителя

конденсатор C2 . В этом случае передаточная функция датчика момента нагрузки будет иметь вид:

W (p) = uом (p)

=

kом

.

(В.22)

 

дм

Mс (p)

 

Tфp +1

 

 

 

 

На практике реализацию датчика момента нагрузки выполняют заменой операции прямого дифференцирования на операции интегрирования или фильтрации сигнала и дальнейшего их структурного преобразования. На рис.В.8,а показана структурная схема получения операции неявного дифференцирования сигнала путем интегрирования выходного сигнала в цепи отрицательной обратной связи и последующего усиления результирующего сигнала. При этом передаточная функция замкнутого контура примет вид:

331

 

u

 

(p)

 

 

Wр (p)

 

 

kу

 

 

 

T p

 

W (p) =

 

вых

 

=

 

 

 

=

 

 

 

 

=

 

 

д

 

,

 

 

W (p)W (p) +1

 

kу

 

 

Tд

 

 

зам

u (p)

 

 

 

+1

 

 

p +1

 

 

 

вх

 

 

р

oc

 

 

Тдp

 

 

 

kу

 

т.е. получили передаточную функцию дифференцирующего звена с фильтрацией. Коэффициент передачи kу выбирается таким образом,

чтобы обеспечить необходимое быстродействие при достаточной фильтрации входного сигнала.

uвх

Wр (p)

Ку

uвых

1

Tдp

Woc (p)

а)

АП

Uос

1

 

Uом

Тдр

+1

Ку

Uот

 

 

 

 

б)

Рис.В.8. Структурные схемы датчика с неявным дифференцированием

Для датчика момента нагрузки больше подходит структурная схема, представленная на рис.В.8,б, основанная на фильтрации

напряжения обратной связи по скорости uос и последующего его

вычитания из выходного сигнала апериодического звена А. Напряжение с выхода апериодического звена А определяется следующим выражением:

1

 

 

UА = (uос +uот )

 

 

, тогда выходное напряжение датчика

T p +1

 

д

 

момента нагрузки будет равно:

 

332

Uом = (uос UА )kу = kу

uосТдp uот

.

(В.23)

 

 

Tдp +1

 

С учетом (В.20) и (В.23) передаточная функция датчика момента нагрузки при kу =1 примет вид:

W (p) = uом (p)

=

kом

,

(В.24)

 

дм

Mс (p)

 

Tдp +1

 

 

 

 

т.е. получили инерционный датчик с постоянной времени, равной постоянной времени канала дифференцирования Тд .

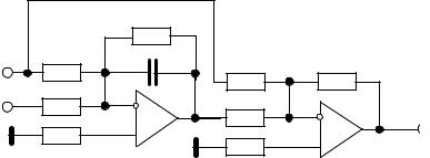
Принципиальная электрическая схема датчика момента нагрузки при реализации его на операционных усилителях, представлена на рис.В.9.

 

 

R3

 

 

-Uос

R1

C1

R4

R6

 

 

 

-Uот

R2

 

R5

-U

 

 

 

 

 

 

DA1

DA2

 

 

 

 

 

 

 

 

R8

Рис.В.9. Принципиальная схема датчика момента неявного дифференцирования

Выходное напряжение датчика момента (рис.В.9) имеет вид:

333

 

 

 

R3

 

R3 )

R6

R5

 

 

R6

 

U

 

= (u

u

 

 

 

+ u

,

 

R C p +1

 

ом

 

ос R

1

 

от R

2

 

ос R

4

 

 

 

 

 

 

 

3

1

 

 

 

 

из последнего уравнения можно получить расчетные соотношения для определения параметров датчика момента:

R3

= R3

=1; R6

= R6

=1;R C = T .

R1

R2

R5

R4

3 1 д

 

Реализация датчика момента нагрузки также возможна на базе наблюдающего устройства, для чего исходное уравнение (В.20) необходимо записать в интегральном виде:

uот (p) uом (p)

uос (p) = ∆uс = 0 .

(В.25)

Tдp

 

 

Первое слагаемое в уравнении (В.25) моделирует электромеханический преобразователь в структурной схеме электродвигателя постоянного тока независимого возбуждения. Входными сигналами являются напряжение сигнала по току (моменту)

uот и выходной сигнал датчика момента uом . Первое слагаемое

определяет сигнал, пропорциональный частоте (скорости) вращения электродвигателя, который сравнивается с фактическим значением

частоты (скорости) вращения электродвигателя uос . Если выходной

сигнал датчика момента uом пропорционален моменту нагрузки на валу

электродвигателя, то уравнение (В.25) будет справедливым. Фактически в процессе работы электропривода равенство (В.25) нарушается, и по

величине ошибки uс определяется выходной сигнал датчика момента.

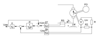
Структурная схема датчика момента нагрузки на базе наблюдающего устройства показана на рис.В.10 и включает в себя

интегратор И с постоянной времени

интегрирования Тд ,

пропорциональное звено П с коэффициентом передачи kу , усиливающее сигнал ошибки uс до величины uом , и описывается уравнением:

334

Рис.В.10. Структурная схема датчика момента нагрузки на базе наблюдающего устройства

(uот uом uос )kу = uом .

(В.26)

Tдp

 

В соответствии с последним уравнением передаточная функция датчика момента нагрузки на базе наблюдающего устройства имеет вид:

W (p) = uом (p)

=

 

kом

,

(В.27)

 

 

дм

Mс (p)

 

 

Tд

p +1

 

 

 

 

 

 

 

 

 

kу

 

где kу =10…15коэффициент передачи пропорционального звена, повышающий быстродействие и точность работы датчика момента.

Структурная схема датчика момента нагрузки реализуется принципиальной схемой, представленной на рис.В.11.

335