Материал: fomin-n-v-sistemy-upravlenija-elekt-437151079-unlocked

Внимание! Если размещение файла нарушает Ваши авторские права, то обязательно сообщите нам

W (p) =

1

.

 

 

 

м

2Tµp +1

 

 

 

 

 

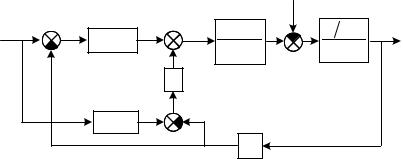
На вход эталонной модели М (рис. 5.18) подается напряжение

задания якорного тока uзт , поэтому на выходе этало

нной модели

получается стандартный (оптимальный) переходный процесс якорного тока в масштабе сигнала обратной связи по току uм . Сигнал эталонного

(оптимального) переходного процесса uм сравнивается с фактическим

переходным

процессом

якорного

тока (сигналом

uот ) и их

разность I

= (uм uот )

(ошибка

регулирования) с

коэффициентом

передачи ka добавляется к основному сигналу с выхода РТ, «подгоняя» реальный переходный процесс к оптимальному.

 

РТ

 

ТП

Ed

Ea

 

Iа

uзт

Wрт (р)

uрт

Uу kп

 

1 Rэ

 

 

Тµр +1

 

 

Тэр +1

 

uот

 

 

 

 

 

 

 

kа

 

 

 

 

 

 

 

 

 

 

 

 

 

uзт

М

uм

 

 

 

 

 

 

 

Wм (р)

 

uот

kот

 

Iа

 

 

 

 

 

 

 

 

 

 

 

 

 

 

 

 

Рис.5.18. Структурная схема контура регулирования якорного тока с эталонной моделью

Коэффициент передачи ka выбирается из условия обеспечения

устойчивой работы контура регулирования (для исключения автоколебаний) по формуле [12,13]:

k

a

TэRэ

(

p

Sin

π(1+ ω2

T2 ) 1),

 

 

 

2Tµkпkот

 

π

р

гр

µ

 

 

 

 

 

 

 

 

 

 

146

 

 

 

где ωгр = ω0p/2 – граничная частота, определяемая частотой питающей сети и «пульсностью» р схемы выпрямления (для трехфазной мостовой схемы выпрямления ωгр = 942 с-1).

Коэффициент ka уточняется при наладке и моделировании электропривода (обычно ka ≤ 25).

Применение эталонной модели позволяет:

при неточной настройке параметров СУЭП или нестабильности параметров СУЭП и объекта регулирования получить свойства контура регулирования тока, близкие к стандартным (оптимальным);

несколько улучшить свойства токового контура в зоне режима прерывистых токов;

снизить влияние внутренней обратной связи по ЭДС двигателя на свойства СУЭП.

Принципиальная электрическая схема адаптивного регулятора тока с эталонной моделью представлена на рис.5.19 с полярностью входных и выходных напряжений для условного направления работы электропривода «Вперед» [13].

147

+uзт

R1

 

R3

C1

 

 

 

uот

R1

 

 

uрт

R6

 

R9

 

 

 

 

 

 

 

R2

 

+uот

R7

 

C3

 

R2

 

DA1

uм

R8

 

 

 

 

 

 

+ Uу

 

1

 

 

 

 

 

DA 4

 

 

R5

 

 

 

 

 

DA 2

 

G

uG

 

 

 

R4

1

C2

СВМ

K

F

 

2

 

 

 

 

 

uм

 

 

 

 

 

 

DA 3

 

| uм |

 

 

 

 

 

 

 

 

 

Рис.5.19. Принципиальная электрическая схема адаптивного

 

регулятора тока с эталонной моделью

 

 

На операционном усилителе DA1 реализован регулятор тока, на входы которого подаются напряжения задания величины якорного тока

uзт и обратной связи uот по току якоря. Адаптация регулятора тока

заключается в изменении его структуры с пропорционально – интегральной в непрерывном режиме на интегральную в режиме прерывистого тока с изменяющейся постоянной времени интегрирования

взависимости от длительности протекания якорного тока λ . Изменение

вструктуре регулятора происходят при замыкании ключа Кл.

Операционный усилитель DA2 – инвертор, изменяющий полярность напряжения uот .

В схеме предусмотрено применение эталонной модели, реализованной на DA3 в упрощенном варианте. Если необходимо применение эталонной модели, то в этом случае устанавливается перемычка 1-2 на входе DA3, и на выходе DA3 получается

смоделированный оптимальный переходный процесс uм . На усилителе

148

DA4 реализован сумматор с небольшим фильтром, на выходе которого формируется напряжение управления ТП определяемое выражением:

Uу = (uрт R9 + (uм R9 uот R9 )) /(R9C3p +1)

R6 R8 R7

Если перемычка 1-2 не установлена, то в этом случае эталонная модель не используется и на выход DA3 (на вход схемы выделения

модуля СВМ) через резисторы R4 и R5 проходит напряжение uзт .

Узел адаптации РТ в режиме прерывистого тока включает в себя компаратор К, генератор пилообразного напряжения G и схему выделения модуля сигнала СВМ. СВМ обеспечивает неизменность полярности напряжения на входе компаратора при изменении направления протекания якорного тока. Диаграммы напряжений, поясняющие работу узла адаптации, показаны на рис. 5.20.

Генератор пилообразного напряжения формирует на выходе напряжение uG , амплитуда которого настраивается равной величине гранично – непрерывного тока якоря в масштабе напряжения обратной связи по току ( kотIdгр ), а ч астота напряжения uG определяется

«пульсностью» схемы выпрямления и частотой питающей сети fG = pfc .

Напряжение uG на компараторе К сравнивается с модулем сигнала выходного напряжения модели, т.е. со средним значением тока якоря в

масштабе напряжения обратной связи по току | uм |= kотId . Если ТП

работает в режиме

непрерывного тока ( Id Idгр ), то в этом случае

| uм1 |uгр (рис.5.20)

сравнения напряжений uG и uм не происходит,

поэтому компаратор не изменяет своего состояния (логический выходной сигнал компаратора F = 0 ), следовательно, и ключ Кл, управляемый сигналом F находится в разомкнутом состоянии, что соответствует ПИ

регулятору тока с постоянной интегрирования

Tрт

= R1C1 и

коэффициентом усиления kрт = R3 / R1 . При работе

ТП в

режиме

прерывистого тока ( Id < Idгр ) напряжение | uм1 |< uгр (рис.5.20).

 

149

 

 

uм ,uG

 

| uм1

|> uгр

 

 

 

uгр

 

 

| uм2 |= uгр

| uм3

|< uгр

| uм4

|<| uм3 |

 

 

 

 

 

t

F

 

 

 

t

 

 

 

 

F

 

 

 

t

 

 

 

 

Рис. 5.20. К пояснению работы узла адаптации регулятора тока

В этом случае происходит сравнение напряжений uG и uм , что

приводит к изменению логического сигнала F > 0 и изменению состояния ключа Кл. При замыкании ключа Кл регулятор тока

становится интегральным (шунтируется резистор R3 в цепи обратной связи DA1), параллельно входным резисторам R1 подключаются резисторы R2 , что приводит к уменьшению постоянной времени интегрирования регулятора Tрт' = R1R2C1 /(R1 +R2 ) .

Чем глубже заходит ТП в режим прерывистого тока, тем меньше

величина λ,

тем дольше ключ Кл находится в замкнутом состоянии

(диаграмма

рис.5.20 для | uм4 |<| uм3 | ), тем меньше величина

постоянной времени интегрирования РТ. Таким образом, определенной величине λ в режиме прерывистого тока ставится в соответствие

необходимая величина постоянной времени интегрирования РТ Tрт' .

150