Материал: fomin-n-v-sistemy-upravlenija-elekt-437151079-unlocked

Внимание! Если размещение файла нарушает Ваши авторские права, то обязательно сообщите нам

допустимого значения. В основе получения оптимальных систем регулирования лежит известный в ТАУ критерий минимизации интегральной среднеквадратичной ошибки регулирования [5,6,9].

Рассмотрим замкнутую систему регулирования (рис.4.1) с единичной

обратной связью, в прямом канале которой включены апериодическое звено с постоянной времени Т1 и интегрирующее звено с постоянной времени Т2, причем Т 21. Определим передаточную функцию замкнутого контура регулирования:

 

 

 

 

 

 

1

 

 

 

1

 

 

X

 

 

 

 

 

 

 

 

 

 

 

Т2р

 

 

 

 

 

 

 

 

 

 

 

 

 

 

 

 

 

 

 

 

 

 

 

Т1р +1

 

 

 

 

 

 

 

 

 

 

 

 

 

 

 

 

 

 

 

 

 

 

 

 

 

 

 

 

 

 

 

 

Рис. 4.1. Структурная схема системы регулирования

 

Wзам (p) =

 

X(p)

=

1

 

 

 

 

=

 

 

 

1

 

 

, (4.1)

X

(p)

T p(T p

+1) +1

T T p2

+ T p +1

 

 

 

з

 

 

 

 

2 1

2 1

2

 

 

 

где Xз и X - заданное и действительное значение регулируемой координаты.

Из (4.1) видно, что знаменатель полученной передаточной функции соответствует знаменателю передаточной функции колебательного звена, поэтому их можно приравнять:

 

 

 

 

 

T T p2

+ T p +1 = T2p2

+ 2ξTp +1 .

(4.2)

 

 

 

 

 

2

1

2

 

 

 

 

 

 

 

Из

(4.2)

следует,

что

 

= T;T = 2ξT , а

коэффициент

 

 

T T

демпфирования

определяется

2

1

 

2

 

отношением постоянных времени

 

1

 

 

 

 

 

 

 

ξ =

 

T2

. Из

теории

автоматического

управления

известно, что

2

 

T

 

 

 

 

 

 

 

 

 

 

 

1

 

 

 

 

 

 

 

 

 

переходный процесс будет оптимальным, если модуль амплитудной частотной характеристики замкнутого контура в широком диапазоне

изменения

частот

остается

постоянным,

равным

единице

 

 

 

106

 

 

Aзам (ω) =1 = const . Для колебательного звена амплитудная частотная характеристика определяется выражением:

 

 

 

A(ω) =

1

 

 

 

 

 

 

(4.3)

 

 

 

(1−ω2T2 )2 + (2ξωT)2

 

 

 

 

 

 

 

 

 

Для выполнения условия

A (ω) =1,

в выражении (4.3)

должно

выполняться

равенство (1−ω2T2 )2 + (2ξωT)2

=1 . Или,

 

раскрыв

скобки и пренебрегая ввиду малости составляющей ω4T4≈0, получим

равенство: 2ω2T2 = (2ξωT)2 .

 

 

 

 

 

 

Т.к.

 

 

= T;T

= 2ξT ,

последнее

равенство

 

можно

 

T T

 

 

2

1

2

 

 

 

 

 

 

 

 

представить

в следующем

виде T2

= 2T T ,

откуда легко

можно

 

 

 

 

 

 

2

2

1

 

 

T2 T = 2 .

получить

соотношение

для

постоянных

времени

Следовательно, для

получения

оптимального переходного

 

1

процесса

необходимо, чтобы постоянная времени Т2 была в два раза большей, чем постоянная времени Т1.

В этом случае передаточная функция замкнутого контура регулирования примет вид:

Wзам (p) =

 

1

 

 

=

 

1

 

 

 

,

(4.4)

2T p(T p +1) +1

2T2p2 + 2T p +1

 

1

1

 

 

 

1

 

 

1

 

 

 

которой соответствует

переходная

функция (реакция

на единичный

входной скачек):

 

 

 

 

 

 

 

 

 

 

 

 

 

 

 

 

t

2T

 

 

t

 

 

t

 

 

 

h(t) =1

e

 

1 (cos

 

 

+sin

 

 

) .

 

(4.5)

 

2T

2T

 

 

 

 

 

 

 

1

 

 

1

 

 

 

Переходный процесс, соответствующий (4.5) показан на рис.4.2 (кривая 1) и соответствует переходному процессу колебательного звена с

коэффициентом демпфирования

ξ =

1

T2

=

 

2

= 0.707

. При отклонении

 

2

T

2

 

 

 

 

 

 

 

 

 

1

 

 

 

 

 

 

107

 

 

 

 

 

 

соотношения

постоянных

времени

от

 

оптимального

T2 T

= 2 ,

 

 

 

 

 

 

 

 

 

 

 

 

 

 

 

 

 

1

переходный

процесс отклоняется

от

оптимального.

При

T2 T

= 4 ,

 

 

 

 

 

 

 

 

 

 

 

 

 

 

 

 

 

1

 

 

 

1

 

 

=

 

 

 

 

 

 

 

коэффициент

демпфирования

равен ξ =

 

T2

4

=1

и переходный

 

 

 

 

 

2

 

T

 

2

 

 

 

 

 

 

 

 

 

 

 

 

 

1

 

 

 

 

 

 

 

 

 

 

процесс носит монотонный характер (кривая 2 на рис.4.2), а при T2

T =1

 

 

 

 

 

 

 

 

 

 

 

 

 

 

 

 

 

 

 

 

 

 

 

 

 

 

 

 

 

 

 

 

 

 

 

 

1

 

 

1

 

 

 

1 ,

 

 

 

 

коэффициент

демпфирования ξ =

T2

=

 

при

этом

возрастает

 

 

 

2

T

 

 

2

 

 

 

 

 

 

 

 

 

 

 

 

 

 

1

 

 

 

 

 

 

 

 

 

 

 

 

 

 

перерегулирование и затягивается время переходного процесса (кривая 3

на рис. 4.2).

Рис. 4.2. Переходные процессы при различных соотношениях постоянных времени

Вывод соотношения постоянных времени для получения оптимального переходного процесса можно выполнить для системы с тремя и более постоянными времени, при этом для n постоянных будет получено следующее равенство:

Tn

=

T3

=

T2

= a = 2 .

(4.6)

T

 

T

 

T

 

 

n1

 

2

 

1

 

 

108

Соотношение (4.6) широко применяется на практике и известно в технической литературе под названием модульного оптимума (МО) или технического оптимума. Данная настройка системы регулирования удовлетворяет требованиям электропривода большого количества механизмов по допустимой величине перерегулирования и быстродействию.

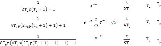
Основные показатели настроенных на модульный оптимум систем регулирования с единичными обратными связями представлены в таблице 1.

109

Таблица 1 Показатели систем, настроенных на модульный оптимум

регулированияконтура№

уравнения.дифПорядок

Передаточная функция замкнутой системы с единичной обратной

Переходная функция системы h(τ)

Относительноевремя τ

Перерегулированиеσ, %

нарастанияВремяtн

Времядостижения tmax,максимума

 

 

 

 

 

 

 

 

связью Wзам(p)

 

 

 

 

 

 

 

 

 

 

 

 

 

 

 

 

 

 

 

 

 

 

 

 

 

1

2

 

 

1-

(cos(τ)+sin(τ))

 

 

4,3

4,7

6,28

 

 

 

 

 

 

 

 

 

 

 

 

 

 

 

 

 

 

 

 

2

3

 

1-

-

sin(

τ)

 

8,0

7,6

10

 

 

 

 

 

 

 

 

 

 

 

 

 

 

 

 

 

 

 

 

3

4

 

 

1-

((1-

 

 

6,2

 

 

 

 

τ)cos(2τ)+2(1+τ)sin(2τ))

 

 

14,4

 

 

 

 

 

 

 

 

18

 

 

 

 

 

 

 

 

 

 

 

 

 

 

 

 

 

 

 

 

110