знак
«–» показывает тупой угол между
и
,
,
– поток через
,
.
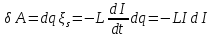
Работа сил магнитного поля по перемещению контура с током равна произведению силы тока в контуре на приращение магнитного потока через площадь, ограниченную контуром:
.
Электромагнитная индукция – явление возникновения ЭДС индукции (а также индукционного тока) в замкнутом контуре при любом изменении магнитного потока через площадь, ограниченную контуром.
Закон Фарадея-Максвелла для электромагнитной индукции
Электродвижущая сила электромагнитной индукции равна скорости изменения магнитного потока, взятой с обратным знаком:
,
,
,
,
- циркуляция напряженности электрического поля по произвольному неподвижному замкнутому контуру равна взятой с обратным знаком скорости изменения магнитного потока через поверхность, ограниченную контуром,
- изменяющееся во времени магнитное поле создает в пространстве вихревое электрическое поле.
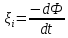
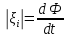
ЭДС индукции
Получение на основе закона сохранения энергии
,
,
– закон Джоуля-Ленца,
,
,
,
,
– сумма ЭДС в контуре,
ЭДС индукции, возникающая в контуре:
.
Получение на основе электронных представлений
,
,
,
,
,
.
Индуцированный ток:
.
Индуцированный заряд:
.
Явление самоиндукции. Собственный магнитный поток. ЭДС самоиндукции. Индуктивность. Расчет индуктивности тороидальной катушки квадратного сечения и коаксиального кабеля. Явление взаимной индукции.
Самоиндукция – явление возникновения ЭДС электромагнитной индукции в электрической цепи вследствие изменения в ней электрического тока.
Собственный магнитный поток (потокосцепление) – полный магнитный поток, создаваемый током в контуре.
Сила тока в цепи и создаваемое этим током потокосцепление пропорциональны:
.
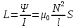
Индуктивность – скалярная величина, численно равная отношению потокосцепления электрической цепи к силе тока в цепи:
.
ЭДС самоиндукции
.
Расчет индуктивности тороидальной катушки квадратного сечения
,
,
,
,
,
.
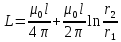
Расчет индуктивности коаксиального кабеля
,
,
,
,
при
,
,
при
,
,
при
,
,
,
,
.
Явление взаимной индукции
,
,
где
– взаимная индуктивность второго и
первого контура, зависит от взаимного
расположения контуров, расстояния между
ними и их геометрии,
,
,
взаимные индуктивности контуров в отсутствии ферромагнетиков всегда равны друг другу:
.
Энергия магнитного поля
Рассмотрим явления, возникающие при размыкании цепи. После отключения источника ток в цепи не прекращается, значит, работа:
,
,
,
,
,
,
.
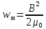
Объемная плотность энергии магнитного поля – отношение энергии поля, заключенного в малом объеме пространства к этому объему:
,
.
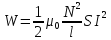
Расчет энергии магнитного поля
Длинный соленоид
,
,
,
,
,
,
.
Магнитное поле в веществе
Всякое вещество является магнетиком, то есть способно под действием магнитного поля намагничиваться (приобретать магнитный момент). Намагниченное вещество создает собственное магнитное поле, которое накладывается на внешнее.
Результирующее магнитное поле в веществе – сумма индукций собственного и внешнего магнитных полей:
.
Микротоки – незатухающие кольцевые токи, циркулирующие в частицах вещества.
В отсутствии внешнего магнитного поля магнитные моменты микротоков ориентированы беспорядочно, поэтому суммарный магнитный момент микротоков:
.
При наличии внешнего поля магнитные моменты микротоков ориентируются вдоль линий индукции внешнего поля, и суммарный магнитный момент становится отличным от нуля:
.
Типы магнетиков:
- диамагнетики;
- парамагнетики;
- ферромагнетики.
Свойства диамагнетиков:
- вещества, атомы которых выталкиваются из области более сильного магнитного поля;
- магнитная восприимчивость отрицательна;
- во внешнем магнитном поле намагничиваются в направлении, противоположном вектору магнитной индукции поля (диамагнитный эффект).
Свойства парамагнетиков:
- вещества, атомы которых слабо втягиваются в область более сильного магнитного поля;
- магнитная восприимчивость незначительно больше нуля;
- намагничиваются во внешнем магнитном поле в направлении вектора магнитной индукции поля.
Намагниченность
– вектор, равный отношению магнитного
момента малого объема вещества
к этому объему:
.
Закон полного тока:
,
.
,
,
,
.
,
,
Напряженность магнитного поля:
,
Закон полного тока для магнитного поля в веществе
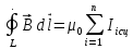
Циркуляция вектора напряженности магнитного поля по произвольному замкнутому контуру равна алгебраической сумме макротоков (токов проводимости), сцепленных с этим контуром:
.
Линейная связь между намагниченностью и напряженностью магнитного поля:
,
Магнитная восприимчивость – величина, характеризующая свойство вещества намагничиваться в магнитном поле, равная отношению модуля намагниченности к модулю напряженности поля:
.
.
,
.
– относительная
магнитная проницаемость
вещества.