Относительная магнитная проницаемость вещества показывает, во сколько раз индукция магнитного поля системы токов в магнетике отличается от индукции магнитного поля той же системы токов в вакууме:
.
Ферромагнетиками – вещества,
- атомы которых сильно втягиваются в область более сильного магнитного поля;
- магнитная восприимчивость значительно выше нуля;
- твердые вещества, обладающие при не слишком высоких температурах самопроизвольной (спонтанной) намагниченностью, которая сильно изменяется под влиянием внешних воздействий.
Магнитный
гистерезис –
процесс запаздывания снижения магнитной
индукции в веществе по сравнению с
уменьшением напряженности внешнего
магнитного поля.
– остаточная
магнитная индукция;
– коэрцитивная сила
– величина напряженности магнитного
поля, необходимая для полного
размагничивания ферромагнетика.
График цикла перемагничивания ферромагнетика – петля гистерезиса.
Точка Кюри – критическое значение температуры, при значении выше которой ферромагнетик утрачивает свои ферромагнитные свойства. При температуре точки Кюри в результате сильного теплового движения частиц происходит разрушение доменной структуры ферромагнетика. При более высоких температурах ферромагнетик ведет себя во внешнем поле как обычный парамагнетик.
Условия на границе диэлектрических сред
,
,
,
.
Составляющая вектора напряженности поля, касательная к поверхности
раздела двух сред, не изменяется при переходе через эту поверхность.
,
.
,
,
,
.
Составляющая вектора электрического смещения,
нормальная к поверхности раздела двух сред,
не
изменяется при переходе через эту
поверхность.
,
.
Условия на границе раздела магнитных сред
,
,
,
.
Составляющая вектора магнитной индукции, нормальная к поверхности раздела двух сред, не изменяется при переходе через эту поверхность.
,
.
,
,
,
.
Составляющая напряженности магнитного поля, касательная к поверхности раздела двух сред, не изменяется при переходе через эту поверхность.
,
.
,
,
,
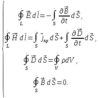
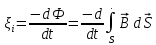
,
изменяющееся во времени магнитное поле создает в пространстве вихревое электрическое поле.
,

,
в конденсаторе:
,
,
– плотность тока смещения,
,
,
,
– плотность токов
проводимости,
,
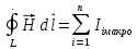
токи проводимости и изменяющееся во времени электрическое поле создают в пространстве вихревое магнитное поле.
,
,
источниками электростатического (потенциального) электрического поля являются неподвижные электрические заряды.
,
неподвижных источников вихревого магнитного поля («магнитных зарядов») не существует.
Система уравнений Максвелла в интегральной форме
Колебания – процессы, обладающие той или иной повторяемостью во времени.
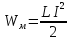
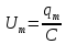
Колебательный контур – цепь, содержащая конденсатор и катушку индуктивности.
Свободные колебания
в контуре без активного сопротивления
До замыкания цепи:
,
,
,
после замыкания цепи:
,
,
,
,
,
,
,
,
,
,
,
,
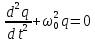
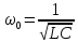
,
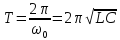
– частота собственных гармонических
колебаний,
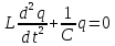
,
– дифференциальное
уравнение собственных незатухающих
колебаний заряда.
НЕ НУЖНО
,
– формула Томпсона.
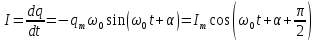
Решение дифференциального уравнения:
,
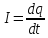
закон изменения силы тока:
,
,
зависимость напряжения на обкладках конденсатора от времени:
,
.