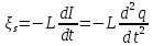
Затухающие
электрические колебания –
колебательный процесс, происходящий в
контуре при наличии резистора с омическим
сопротивлением
.
,
,
,
,
,
,
– коэффициент
затухания,
,
,
– дифференциальное
уравнение затухающих колебаний.
Решение:
,
– частота затухающих
колебаний,
.
,
– время, за которое
амплитуда колебаний уменьшается в
раз.
,
,
коэффициент
затухания
равен величине, обратной времени, за
которое амплитуда колебаний уменьшается
в
раз.
,
,
логарифмический
декремент колебаний
– величина, обратная числу колебаний
,
в течение которых амплитуда колебаний
уменьшается в
раз.
Критическое сопротивление – максимальное сопротивление контура, при котором еще возможно возникновение колебаний,
при
,
,
,
,
колебания прекращаются – апериодический
процесс.
НЕ НУЖНО
при
решение:
,
– частота затухающих
колебаний,
.
Условный период колебаний:
.
,
.
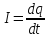
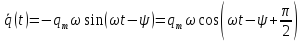
Вынужденные электрические колебания в колебательном контуре. Дифференциальное уравнение. Частное решение. Амплитуда вынужденных колебаний. Сдвиг фаз между внешней ЭДС и напряжением на обкладках конденсатора. Явление резонанса. Резонанс напряжений.
Вынужденные
электрические колебания – колебательный
процесс, происходящий в контуре под
действием внешнего периодически
изменяющегося воздействия.
,
,
,
,
,
,
,
,
,
– дифференциальное
уравнение вынужденных колебаний,
Частное решение:
.
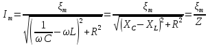
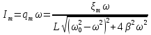
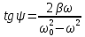
Амплитуда вынужденных колебаний:
,
,
.
Резонанс – явление резкого возрастания амплитуды вынужденных колебаний при определенной частоте внешнего воздействия, равной частоте собственных колебаний.
Резонанс напряжений – явление резонанса в последовательном колебательном контуре. Сопротивление контура становится чисто активным.
НЕ НУЖНО
,
,
,
,
,
Резонансная частота внешнего воздействия:
.
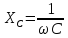
,
,
– полное сопротивление
контура,
– емкостное
сопротивление,
– индуктивное
сопротивление,
– активное
сопротивление контура,
– реактивное
сопротивление контура.
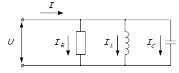
Резонанс токов – явление резонанса в параллельном колебательном контуре (параллельное соединение конденсатора, активного сопротивления и катушки индуктивности).

НЕ НУЖНО
,
Электромагнитные волны – электромагнитные колебания, распространяющиеся в пространстве.
Уравнение плоской
волны,
распространяющейся вдоль оси
:
.
Свойства:
Источники электромагнитных волн – изменяющиеся во времени электрические заряды и электрические токи.
Уравнение плоской электромагнитной волны:
Электромагнитные волны являются поперечными:
,
,
.
В непроводящей среде колебания векторов напряженностей электрического и магнитного полей происходят в одной и той же фазе.
Связь амплитуд колебания векторов напряженностей электрического и магнитного полей:
.
Скорость распространения электромагнитной волны в однородной непроводящей среде зависит от диэлектрических и магнитных свойств среды:
.
Скорость распространения электромагнитной волны в вакууме является фундаментальной константой:
.
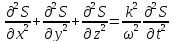
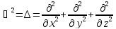
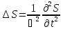
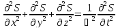
Волновое уравнение – дифференциальное уравнение, решением которого является уравнение волны.
,
,
,
,
,
,
,
,
,
оператор Лапласа:
,
,
–
волновое уравнение.