Диэлектрики – вещества, которые при обычных условиях практически не проводят электрический ток.
Типы диэлектриков:
- поляризованные диэлектрики (возникновение дипольного электрического момента молекул);
- неполярные диэлектрики (неполярные молекулы);
- кристаллические диэлектрики (слабополярные).
Поляризация
диэлектрика
– состояние вещества, при котором в
любом его малом объеме
возникает отличный от нуля суммарный
дипольный электрический момент молекул.
Поляризованность
– отношение
электрического дипольного момента
малого объема диэлектрика
к этому объему (электрический дипольный
момент единицы объема вещества):
.
,
– поляризуемость
молекулы,
,
,
,
– диэлектрическая
восприимчивость
вещества.
Напряженность электрического поля в диэлектрике
,
– внешнее электрическое
поле,
– поле, возникающее
вследствие поляризации,
,
,
,
,
поле бесконечной заряженной плоскости:
,
,
,
,
.
Вектор электрического смещения. Теорема Гаусса для поля в диэлектрике. Связь электрического смещения с напряженностью поля. Диэлектрическая проницаемость. Пример применения теорема Гаусса к расчету поля в диэлектрике.
,
,
цилиндр
площадью основания
и образующими
,
параллельными
,
,
,
,
,
,
,
,
,
.
Вектор электрического смещения:
.
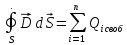
Теорема Гаусса для поля в диэлектрике
Поток вектора электрического смещения через произвольную замкнутую поверхность равен алгебраической сумме свободных зарядов, охваченных этой поверхностью:
.
Связь электрического смещения с напряженностью поля
.
Относительная диэлектрическая проницаемость:
.
.
Относительная диэлектрическая проницаемость равна отношению нормальной составляющей напряженности электрического поля в вакууме к нормальной составляющей напряженности электрического поля в диэлектрике.
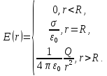
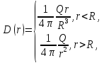
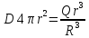
Пример применения теорема Гаусса к расчету поля в диэлектрике
Диэлектрический
шар, радиус
,
заряд
,
относительная диэлектрическая
проницаемость –
.
,

,
,
,
,
,
,
,
,
,
,
,
зависимость
имеет разрыв на поверхности шара (при
),
так как на этой поверхности находится
связанный положительный заряд.
Проводники в электростатическом поле
Проводники – вещества, содержащие свободные носители заряда.
Электростатическая индукция – явление перераспределения свободных зарядов в проводнике под действием внешнего электрического поля.
Поле внутри проводника и на его поверхности
Внутри проводника:
,
,
перераспределение зарядов происходит до тех пор пока
,
.
На поверхности:
,
перпендикулярен к
поверхности, потенциал поверхности
одинаков во всех точках, поверхность
эквипотенциальна.
Поверхностная
плотность заряда
,
,
,
,
плотность электрического заряда на поверхности проводника прямо пропорциональна напряженности поля вблизи его поверхности.
Следствие: при
переходе через поверхность заряженного
проводника напряженность электрического
поля изменяется скачком на
.
Напряженность поля на поверхности проводника на примере заряженной сферы
Радиус
,
заряд
.
,
,
,
,
,
,
Электроемкость уединенного проводника. Взаимная электроемкость двух проводников. Конденсаторы. Электроемкость конденсатора. Пример расчета электроемкости уединенной проводящей сферы и конденсатора.
Потенциал уединенного проводника пропорционален находящемуся на нем заряду:
.
Электроемкость уединенного проводника – физическая величина, равная отношению заряда проводника к его потенциалу в поле этого заряда:
.
Система из двух близко расположенных проводников, заряды которых численно равны, но противоположны по знаку. Разность потенциалов между проводниками пропорциональна заряду:
.
Взаимная электроемкость двух проводников численно равна заряду, который нужно перенести с одного проводника на другой для изменения разности потенциалов между ними на единицу:
.
Конденсатор – система проводников, расположенных и заряженных таким образом, что электрическое поле существует только в пространстве между ними.
Электроемкостью конденсатора – физическая величина, равная отношению заряда конденсатора к разности потенциалов, создаваемой полем этого заряда между его обкладками:
.
Пример расчета электроемкости уединенной проводящей сферы
Радиус
,
заряд
,
вакуум.
,
,
,
,
,
,
,
.
Пример расчета конденсатора
Плоский конденсатор.
,
,
,
,
.