,
,
,
,
,
,
,
.
Пример расчета конденсатора
Плоский конденсатор.
,
,
,
,
.
Электрический ток проводимости – упорядоченное движение свободных заряженных частиц.
Постоянный электрический ток – электрический ток, не изменяющийся во времени ни по величине, ни по направлению.
Необходимые условия для существования и поддержания постоянного тока:
наличие свободных носителей зарядов, которые могли бы перемещаться на макроскопическое расстояние;
наличие замкнутой проводящей цепи;
наличие электрического поля, энергия которого затрачивалась бы на перемещение электрических зарядов (для того, чтобы ток был длительным, энергия поля должна все время пополняться, то есть нужен источник электрической энергии).
Основные характеристики тока
Сила тока – скалярная величина, численно равная заряду, переносимому в единицу времени через поперечное сечение проводника:
.
Плотность тока –
векторная величина, модуль которой
равен отношению заряда, переносимого
за единицу времени через поверхность,
перпендикулярную к направлению движения
носителей заряда, к площади этой
поверхности.
,
,
.
,
.
Закон Ома
Сила тока в однородном металлическом проводнике пропорциональна разности потенциалов на концах проводника:
,
,
– удельное электрическое сопротивление
вещества.
Закон Ома в дифференциальной форме:
,
,
,
– удельная электрическая проводимость.
,
,
,
,
,
,
,
,
.
Обобщенный закон Ома
Произведение сопротивления участка цепи на силу тока в нем равно алгебраической сумме разности потенциалов на этом участке и ЭДС всех источников, включенных на участке:
.
Падение напряжения
на участке цепи 1-2 – величина
,
численно равная удельной работе,
совершаемой суммарным полем
электростатических и сторонних сил при
перемещении заряда из точки 1 в точку
2:
.
Электродвижущая сила (ЭДС) – величина, численно равная удельной работе сторонних сил по перемещению заряда из точки 1 в точку 2:
.
Магнитное поле – форма существования материи, посредством которой осуществляется действие на движущиеся электрические заряды и постоянные магниты со стороны других движущихся зарядов и постоянных магнитов.
Магнитная индукция – силовая характеристика магнитного поля, определяемая одним из трех соотношений:
,
,
.
,
– радиус-вектор,
проведенный от движущегося заряда
в рассматриваемую точку пространства,
,
– магнитная
постоянная.
,
,
,
определяет вектор
,
.
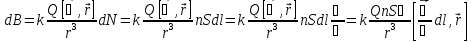
Закон Био-Савара-Лапласа
Магнитная индукция
поля, созданного в произвольной точке
пространства элементом
проводника с током силой
прямо пропорциональна произведению
силы тока на векторное произведение
элемента длины проводника на радиус-вектор,
проведенный от этого элемента в точку,
и обратно пропорциональна кубу длины
радиус-вектора.
Принцип суперпозиции для магнитного поля
,
Магнитная индукция поля, созданного системой движущихся зарядов в любой точке пространства, равна векторной сумме магнитных индукций полей, созданных каждым движущимся зарядом в этой точке в отдельности.
Магнитное поле, созданное прямолинейным проводником конечной длины с током
,
,
,
,
,
,
.
,
.
Поле прямого бесконечного проводника с током
Исследуемая
точка
находится настолько близко к проводу,
что расстояние
во много раз меньше расстояний от точки
до концов проводника,
,
,
.
Магнитное поле на оси витка с током
Из
условий симметрии следует, что вектор
магнитной индукции поля, создаваемого
всем витком с током, будет направлен
вдоль оси витка
,
,
,
,
,
,
,
при
:
.
Магнитный
момент витка (контура) с током
– вектор, модуль которого равен
произведению силы тока в витке
на площадь витка
,
а направление совпадает с единичным
вектором нормали к витку:
.
Контур с током во внешнем магнитном поле
Рассмотрим
рамку в магнитном поле, вектор магнитного
момента которой повернут на угол
.
Механический
момент сил
и
:
,
,
,
,
,