,
.
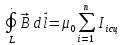
Рассмотрим окружность,
магнитная индукция в каждой точке окружности:
,
,
.
Рассмотрим
произвольный контур
,
,
.
.
Рассмотрим произвольный замкнутый контур, не охватывающий ток,
:
,
:
,
.
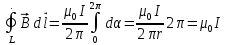
Закон полного тока в вакууме
Циркуляция вектора магнитной индукции по произвольному замкнутому контуру прямо пропорциональна алгебраической сумме токов, сцепленных с этим контуром, причем направление обхода контура и направление тока связаны правилом буравчика:
.
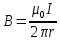
Расчет магнитной индукции бесконечного проводника с током
,
,
.
Расчет магнитной индукции бесконечно длинного соленоида
Циркуляция магнитной индукции будет отлична от нуля только в случае, когда контур интегрирования проведен вдоль оси соленоида,
,
,
– число витков
соленоида, приходящееся на единицу его
длины,
,
.
Расчет магнитной индукции тороида
,
,
– полное число
витков,
.
Действие магнитного поля на движущийся заряд
Сила, действующая со стороны магнитного поля на частицу:
,
направление определяют по правилу «левой руки».
Сила Лоренца – сила, действующая на заряженную частицу, движущуюся в электрическом и магнитном полях:
,
направление определяют по правилу «левой руки»,
,
– электрическая
составляющая,
,
– магнитная
составляющая.
Движение заряженных частиц в магнитном поле
,
– нормальное
ускорение,
,
,
,
.
Сила, действующая на частицу со стороны магнитного поля, не совершает работу, следовательно, кинетическая энергия частицы не изменяется, и скорость остается постоянной.
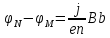
Эффект Холла – возникновение в проводнике с током, помещенном в магнитное поле, разности потенциалов в направлении перпендикулярном вектора плотности тока и магнитной индукции.
Действие
магнитной составляющей силы Лоренца
приводит к поперечному смещению
электронов, в результате чего между
верхней и нижней поверхностями проводника
появится электрическое поле разделенных
зарядов.
Процесс смещения электронов прекратится, когда компенсируются силы, действующие на них со стороны магнитного и электрического полей:
,
,
изменение
направления напряженности приведет к
изменению положения эквипотенциальных
плоскостей (перпендикулярных
).
Разность
потенциалов между
и
:
.
,
– холловская разность
потенциалов.
Закон Ампера
Сила, действующая на элемент проводника с током в магнитном поле, равна произведению силы тока на векторное произведение элемента длины проводника на магнитную индукцию поля:
,
,
направление
определяют по правилу «левой руки».
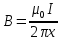
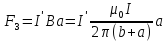
Взаимодействие длинного прямого тока и квадратной рамки, обтекаемой током
,
,
,
,
,
,
.
Контур с током в магнитном поле. Силы, действующие на контур с током в магнитном поле. Механический момент, действующий на контур с током в магнитном поле. Состояние устойчивого и неустойчивого равновесия.
Контур с током в магнитном поле
Направление магнитного момента рамки совпадает с магнитной индукцией поля.
Силы, действующие на контур с током в магнитном поле
,
.
,
рамка в однородном магнитном поле покоится, действие магнитного поля сводится только к ее деформации.
Вектор
магнитного момента повернут на угол
.
Механический
момент сил
и
:
,
,
,
,
,
.
– устойчивое
равновесие,
– неустойчивое
равновесие.
Элементарный магнитный поток:
,
,
.
Магнитный поток – скалярное произведение вектора площади элемента поверхности на магнитную индукцию:
,
.
Магнитный поток через поверхность пропорционален числу линий магнитной индукции, пересекающих эту поверхность.
Суммарный магнитный поток через любую замкнутую поверхность всегда равен нулю:
.
Работа при перемещении проводника с током в магнитном поле
,
,
,
,
.
Работа сил магнитного поля по перемещению проводника с током равна произведению силы тока в проводнике на магнитный поток через поверхность, очерчиваемую проводником при его движении:
.
Работа при перемещении контура с током в магнитном поле
Разделим
контур на части
и
.
,
– поток через
,
– поток через
.