Экзаменационная программа по физике
Электрический заряд и его свойства, закон сохранения электрического заряда. Закон Кулона для точечных зарядов. Электростатическое поле. Напряженность электростатического поля. Принцип суперпозиции полей.
Электрический заряд – физическая величина, определяющая интенсивность электрических взаимодействий; фундаментальное свойство материи.
Свойства электрического заряда:
существует два типа зарядов – положительный и отрицательный заряды;
тела, обладающие зарядами одного типа, отталкиваются друг от друга, а тела, обладающие зарядами разных типов, притягиваются друг к другу;
заряд всегда связан с материальным телом или частицей;
электрический заряд дискретен, то есть существует минимальная величина электрического заряда (элементарный заряд);
электрический заряд – аддитивная величина, то есть электрический заряд любого тела может быть представлен как алгебраическая сумма целого числа элементарных зарядов;
элементарный
положительный заряд – заряд протона
,
элементарный отрицательный заряд –
заряд электрона
.
Закон сохранения электрического заряда
Алгебраическая сумма электрических зарядов тел или частиц, образующих электрически изолированную систему, не изменяется при любых процессах, происходящих в этой системе.
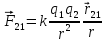
Закон Кулона для точечных зарядов
Сила электростатического взаимодействия двух неподвижных точечных зарядов, находящихся в вакууме, прямо пропорциональна произведению этих зарядов, обратно пропорциональна квадрату расстояния между зарядами и направлена вдоль прямой, их соединяющей так, что одноименные заряды отталкиваются, а разноименные притягиваются:
,
,
,
– электрическая
постоянная.
Электростатическое поле – электрическое поле, создаваемое неподвижными заряженными телами при отсутствии в них электрических токов.
Напряженность электростатического поля – векторная величина, равная отношению силы, действующей со стороны поля на неподвижный пробный электрический заряд, помещенный в рассматриваемую точку поля, к этому заряду:
.
Принцип суперпозиции электрических полей
Напряженность электрического поля, созданного системой зарядов в любой точке пространства, равна векторной сумме напряженности полей, созданных в этой точке каждым зарядом в отдельности:
,
.
Электрический диполь – система двух разноименных одинаковых по модулю электрических зарядов.
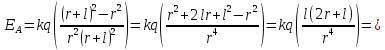
Расчет напряженности
электрического поля, созданного диполем
,
– электрический дипольный момент,
точка
на оси диполя,
,
,
,
,
,
,
,
точка
на срединном перпендикуляре к оси,
,
,
.
Силы, действующие
на диполь в электрическом поле
Однородное поле:
,
,
,
,
,
устойчивое равновесие – минимум потенциальной энергии (параллельно полю):
.
Неоднородное поле:
,
диполь втягивается в область более сильного поля,
.
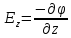
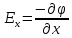
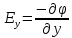
Работа сил электростатического поля по переносу пробного заряда. Критерий потенциальности поля. Потенциальная энергия. Потенциал. Физической смысл разности потенциалов между двумя точками поля. Интегральная и дифференциальная связь между напряженностью и потенциалом электростатического поля.
Работа сил
электростатического поля по переносу
пробного заряда
,
.
Критерий потенциальности поля
Силы электрического взаимодействия – консервативны (центральны). Работа сил электростатического поля по перемещению заряда не зависит от формы траектории движения заряда, а определяется только положением начальной и конечной точек траектории. Циркуляция напряженности электростатического поля по произвольному замкнутому контуру равна нулю:
,
– необходимое и достаточное условие
для потенциальности электростатического
поля.
Потенциальная энергия
Связь работы консервативной силы и изменения потенциальной энергии:
.
.
Потенциал – отношение потенциальной энергии пробного электрического заряда, помещенного в данную точку поля, к величине заряда:
.
Физической смысл разности потенциалов между двумя точками поля
Разность потенциалов между двумя любыми точками 1 и 2 электростатического поля численно равна удельной работе, совершаемой силами поля при перемещении пробного заряда из точки 1 в точку 2.
Интегральная связь напряженности и потенциала электростатического поля
,
.
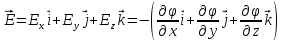
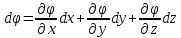
Дифференциальная связь напряженности и потенциала электростатического поля
,
,
,
,
,
,
,
.
Поток вектора напряженности электростатического поля. Теорема Гаусса для электростатического поля в вакууме. Пример применения теоремы Гаусса к расчету напряженности электростатического поля в вакууме.
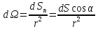
Элементарный поток:
,
,
.
Поток
вектора напряженности электростатического
поля через
поверхность
– алгебраическая сумма элементарных
потоков:
,
поток
вектора напряженности через поверхность
пропорционален числу силовых линий,
пересекающих эту поверхность.
Телесный угол:
,
телесный угол,
опирающийся на сферу равен
.
Заряд
охвачен произвольной замкнутой
поверхностью,
,
,
поверхность
охватывает заряды
,
.
Заряд
вне произвольной замкнутой поверхности,
.
,
,
,
.
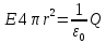
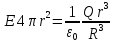
Теорема Гаусса для электростатического поля в вакууме
Поток вектора напряженности электростатического поля через произвольную замкнутую поверхность пропорционален алгебраической сумме зарядов, охваченных этой поверхностью:
.
Пример применения теоремы Гаусса к расчету напряженности электростатического поля в вакууме
Шар,
радиус
,
заряд
.
,
,
,
,
,
,
,
,