и по формуле (3.6) вязкость гипотетического газа
Вязкость смеси определяем по уравнению (3.1), где











(значение 


находим по T12* из табл. 1.2).
Вычисляем
см = 1566·10–8 Па·с.
Экспериментальное значение
см = 1551·10–8 Па·с.
3.2. Определить вязкость смеси, содержащей 47,86 % аммиака и 52,14 % кислорода при T = 473,15 К (состав смеси выражен в молях).
31
Расчет. Определяем псевдокритические параметры и кажущуюся молекулярную массу смеси:














МПа;














К;













кг/кмоль;








.
При Tсм = 473,15 К





Па·с.
Экспериментальное значение
см = 2390·10–8 Па·с.
Напомним, что дипольный момент молекулы аммиака μ = 1,46 Д.
3.3. Определить вязкость смеси следующего мольного состава:
20 % He, 20 % N2, 20 % H2O, 20 % C3H8 и 20 % O2 при T = 300 К.
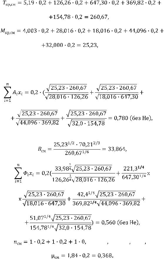
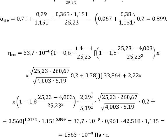
Расчет. Сначала вычислим псевдокритические параметры и кажущуюся молекулярную массу этой многокомпонентной смеси:
МПа,
32
К,
кг/кмоль.
При Tсм = 300 К имеем ηсм = 300/260,67 = 1,151.
Далее по формуле (3.7) можно вычислить
см. Промежуточные величины имеют значения













,
33
Заметим, что здесь учтен только дипольный момент молекулы водяного пара μ = 1,84 Д.
Далее:


















,
.
После этого рассчитаем динамическую вязкость смеси
4. ТЕПЛОПРОВОДНОСТЬ БИНАРНЫХ СМЕСЕЙ ГАЗОВ
Формулы для расчета теплопроводности бинарных смесей одноатомных газов могут быть получены на основе строгой молекуляр- но-кинетической теории. Эти формулы более сложны по сравнению с аналогичными зависимостями для вязкости бинарных смесей. Заметим, что и в этом случае точность вычислений теплопроводности недостаточна и отражает приблизительный характер наших знаний об особенностях межмолекулярного взаимодействия в смесях газов.
Строгое теоретическое решение для теплопроводности смесей многоатомных газов отсутствует. Для расчета пользуются прибли-
34
женными формулами, которые лучше согласуются с экспериментальными данными, чем строгие теоретические соотношения [8].
Методы такого рода многочисленны, часто дают противоречивые результаты. Рассмотрим лишь один пример, успешно использованный для описания бинарных смесей газообразных холодильных агентов [4].
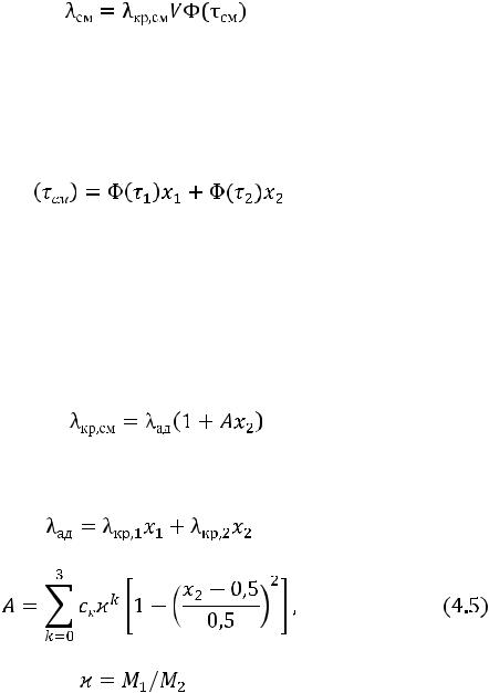
Уравнение для расчета теплопроводности смеси может быть записано в виде
, |
(4.1) |
где V = cv,см/cv,кр,см; λкр,см; сv,кр,см – соответственно значения теплопроводности и удельной теплоемкости смеси при Tкр,см.
Единую температурную функцию Φ(ηсм) удается описать аналитической зависимостью
, |
(4.2) |
где Φ(ηi) = ηiα, η = T/Tкр.
Здесь: при ηi ≥ 1 α = 0,71 + 0,29/ηi + μiηi/Mi – (0,067 + 0,38/ηi)·xHe и
при η ≤ 1 α = 0,965 + μi/Mi.
На основании анализа литературных данных для теплопроводности бинарной газовой смеси при температуре Т предлагается зависимость
, |
(4.3) |
в которой
, |
(4.4) |
, |
(4.6) |
где Cк – коэффициенты (С0 = –0,3961; C1 = 1,2840; С2 = –1,4373;
С3 = 0,5885); x2, M2 – соответственно мольная доля и молекулярная
35