масса более тяжелого компонента смеси; x1, M1 – мольная доля и молекулярная масса легкого компонента смеси.
Следует заметить, что для вычислений теплопроводности смеси необходимо знать значения теплопроводности компонентов при критической температуре и их теплоемкость.
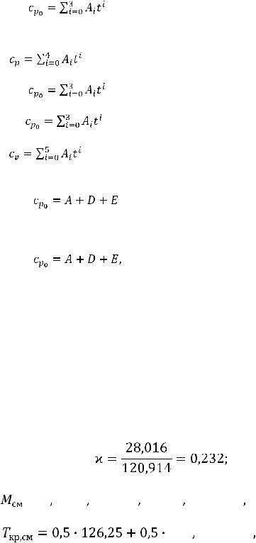
Таблицы теплоемкости одноатомных и двухатомных газов приведены в учебниках термодинамики. В табл. 4.1 поэтому дан только перечень формул для расчета теплоемкости некоторых широко используемых холодильных агентов, составленный по литературным данным. Значения теплопроводности газов при Ткр могут быть взяты из табл. 1.4 или рассчитаны по уравнению (2.1).
Таблица 4.1
Перечень аппроксимирующих уравнений для расчета теплоемкости идеального газа
Газ |
|
|
|
|
|
Уравнение |
|
|
|
Интервал |
|
|
|
|
|
|
|
|
температур, К |
||
|
|
|
|
|
|
|
|
|
|
|
Метан |
|
|
|
|
|
, Дж/(моль·К); t = T/100; |
|
|
200–900 |
|
A0 |
= 44,00054; A1 = –12,80249; A2 = 4,68939; |
|
||||||||
|
|
|
||||||||
|
|
|
A3 = –0,49566; A4 = 0,01845 |
|
|
|
||||
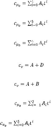
Этан |
|
|
|
|
|
, Дж/(моль·К); t = T/100; |
|
|
90–600 |
|
A0 = 29,35714; A1 = 9,28501; A2 |
= –5,25486; |
|
|
|||||||
|
|
|
|
|||||||
|
|
A3 = 2,76957; A4 = –0,47895; A5 = 0,02776 |
|
|
|
|||||
R113 |
|
|
|
|
|
, Дж/(моль·К); t = T/100; |
|
|
293–600 |
|
A0 |
= 22,57892; A1 = 0,51528; A2 = –7,62929·10 |
-4 |
; |
|||||||
|
|
|
||||||||
|
|
|
A3 = 5,49709·10-7; A4 = –1,56001·10-10 |
|
|
|
||||
|
|
|
|
|
|
|
|
|
|
|
R21 |
|
|
|
|
–3 |
, Дж/(моль·К); A = A1Tb; |
|
|
300–600 |
|
|
|
|
|
); A1 = 2,2500; A2 |
= –13,7630; |
|
||||
|
D = A2exp(cT |
|
|
|||||||
|
|
|
b = 0,5547; c = –3,0688·108 |
|
|
|
||||
R23 |
|
|
|
|
, Дж/(моль·К); A = A0 + A1T; |
|
|
200–600 |
||
|
|
|
–3 |
); A0 = 12,7340; A1 = 0,10160; |
|
|
||||
|
B = A2exp(cT |
|
|
|
||||||
|
|
|
A2 = –19,4030; c = –2,7642·108 |
|
|
|
||||
R22 |
|
|
|
|
|
, кДж/(кг·К); t = T/100; |
|
|
200–600 |
|
|
A-1 = 0,07948; A0 = 0,14987; A1 |
= 0,19082; |
|
|
||||||
|
|
|
|
|
||||||
|
|
|
|
|
A2 = –0,010757 |
|
|
|
|
|
R12 |
|
|
, кДж/(кг·К); t = T/Tкр; Tкр = 385,15 К |
100–700 |
||||||
A0 |
= 0,077432; A1 = 0,707146; A2 |
= 0,0919702; |
|
|||||||
|
|
|
||||||||
|
A3 = –0,513222; A4 = 0,302382; A5 = –0,0576614 |
|
||||||||
36
Окончание табл. 4.1
Газ |
|
|
|
Уравнение |
|
|
|
|
|
|
|
|
Интервал |
|
|
|
|
|
|
|
|
|
|
|
|
температур, К |
|||
|
|
|
|
|
|
|
|
|
|
|
|
|
|
|
R11 |
|
|
|
, Дж/(моль·К); A0 = 16,54901; |
|
200–600 |
||||||||
A1 |
= 0,32458; A2 |
= –4,65110·10 |
-4 |
; A3 = 2,50371·10 |
-7 |
|||||||||
|
|
|
|
|
||||||||||
|
|
|
|
|
|
|
||||||||
R14 |
|
, Дж/(моль·К); A0 = 9,04322; |
|
|
A1 |
200–650 |
||||||||
= 0,23055; A2 = –1,98748·10 |
-4 |
; A3 = 5,47453·10 |
-8 |
|
||||||||||
|
|
|
|
|
||||||||||
R115 |
|
|
|
, Дж/(моль·К); A0 = 16,91850; |
|
200–600 |
||||||||
A1 |
= 0,43821; A2 |
= –4,75769·10 |
-4 |
; A3 = 1,97520·10 |
-7 |
|||||||||
|
|
|
|
|
||||||||||
R114 |
|
|
|
, Дж/(моль·К); A0 = –19,46135; |
|
220–600 |
||||||||
A1 |
= 0,80349; A2 |
= –1,47200·10 |
-3 |
; A3 = 1,03410·10 |
-6 |
|||||||||
|
|
|
|
|
||||||||||
R13 |
|
, кДж/(кг·К); η = T/Tкр; Tкр = 301,99 К; |
100–700 |
|||||||||||
A0 = 0,217931; A1 = –0,244135; A2 = 1,828576; |
|
|||||||||||||
|
|
|
||||||||||||
|
A3 = –2,139585; A4 = 1,214109; A5 = –0,347027 |
|
|
|||||||||||
R13B1 |
|
|
|
, Дж/(моль·К); A = A0 |
+ tb; |
|
|
200–600 |
||||||
D = A1exp(c1t |
-3 |
); E = A2exp(c2t |
-5 |
); A0 |
= 39,3086; |
|
||||||||
|
|
|
|
|
|
|||||||||
|
A1 = –13,1408; A2 = –69,12; b = 0,5192; c1 = –140,47; |
|
||||||||||||
|
|
c2 = –3,035·104; t = T/100 |
|
|
|
|
|
|||||||
R12B1 |
|
|
|
Дж/(моль·К); A = A0 |
+ tb; |
|
|
200–600 |
||||||
D = A1exp(c1t |
-3 |
); E = A2exp(c2t |
-5 |
); A0 |
= 44,2654; |
|
||||||||
|
|
|
|
|
|
|||||||||
|
A1 = –15,6323; A2 = –76,28; b = 0,4796; |
c1 = –130,14; |
|
|||||||||||
|
|
c2 = –3,066·104; t = T/100 |
|
|
|
|
|
|||||||
Примеры расчета
4.1. Определить теплопроводность бинарной смеси газов, состав которой задан в мольных долях: 50 % N2 и 50 % R12 при
Т = 292 К и p = 0,1 МПа.
Расчет.
Используя данные табл. 1.4 и 4.1, рассчитываем














кг/кмоль;




К;
37


кДж/(кмоль·К);


кДж/(кмоль·К) (при T = 292 К);



кДж/(кмоль·К);



кДж/(кмоль·К) (при T = 292 К);














кДж/(кмоль·К);














кДж/(кмоль·К);
На основе формулы (4.2) определяется Φ(ηi). Имеем










;
Откуда
Далее из табл. 1.4 находим



Вт/(м·К);



Вт/(м·К)
и вычисляем по формуле (4.4)
38









Вт/(м·К).
Определяем по формулам (4.3) и (4.5)



,



Вт/(м·К).
Окончательно получаем
Экспериментальное значение λсм = 1439·10–5 Вт/(м·К).
4.2. Определить теплопроводность смеси газообразных хладагентов R12 и RС318, состав которой задан в мольных долях:
xR12 = 0,421, xRC318 = 0,579 при T = 353,77 К и p = 0,1 МПа.
Расчет. Рассчитываем, используя данные табл. 1.4 и 4.1,














кг/кмоль;

К;



кДж/(кмоль·К);



кДж/(кмоль·К) (при T = 353,77 К);



кДж/(кмоль·К);



кДж/(кмоль·К) (при T = 353,77 К);
39


кДж/(кмоль·К);
кДж/(кмоль·К);










;









;

.
Из табл. 1.4 находим






Вт/(м·К);






Вт/(м·К).
Имеем





Вт/(м·К),







Вт/(м·К),
40