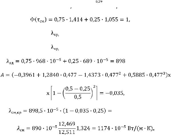
Экспериментальное значение λсм = 1451·10–5 Вт/(м·К), 4.3. Определить теплопроводность смеси аргона и криптона,
состав которой задан в мольных долях: xAr = 0,75; xKr = 0,25, при
T = 221,04 К и p = 0,1 МПа.
Расчет.
Рассчитываем, используя данные табл. 1.4 и 4.1,














кг/кмоль,
К,



кДж/(кмоль·К),



кДж/(кмоль·К) (при T = 292 К),



кДж/(кмоль·К),



кДж/(кмоль·К) (при T = 292 К),
кДж/(кмоль·К),
кДж/(кмоль·К),





,
41












,
,






Вт/(м·К),






Вт/(м·К),



Вт/(м·К),




Вт/(м·К),
Экспериментальное значение λсм = 1168·10–5 Вт/(м·К).
42
ПРИЛОЖЕНИЯ
Вкачестве рабочих веществ холодильных машин, а в ряде случаев и паросиловых установок, широко используются фтор-, хлор-, бромпроизводные углеводороды (метана, этана, пропана и др.). Промышленное производство первого из веществ – дифтордихлорме-
тана (CF2Cl2) – было начато в 1931 г. Длительное время эти соединения в соответствии с фирменным названием дифтордихлорметана называли фреонами. Это название еще довольно часто можно встретить
всоветской и иностранной технической литературе. Так, дифтордихлорметан, известный как фреон-12, рабочее вещество с химической формулой CF3Cl как фреон-13 и т. д.
Всоответствии с международным стандартом «Органические хладагенты» (МС ИСО 817) Международной организации по стандартизации (ИСО) в 1986 г. установлена система обозначений галоидных производных углеводородов. Эта система состоит из наименования и числа. Буква R или слово Refrigerant (холодильный агент) составляет наименование. Цифры связаны со структурой молекул холодильного агента, Последняя цифра равна числу атомов фтора в молекуле, предпоследняя цифра на единицу больше числа атомов водорода, а третья от конца на единицу меньше числа атомов углерода в молекуле. Число атомов хлора равно разности от вычитания атомов фтора и водорода из общего числа атомов, присоединенных к атому углерода. Перед числовым обозначением циклических предельных соединений ставят букву «C». Если в молекуле холодильного агента присутствуют атомы брома, к числовому обозначению соответствующего соединения добавляют букву «B» и цифру, равную числу
атомов брома. Например, соединение CHF2Cl имеет по системе ИСО обозначение R22. Здесь последняя цифра 2 – число атомов фтора, первая цифра 2 – число атомов водорода в молекуле плюс единица, третьей цифры нет, так как она на единицу меньше числа атомов углерода в молекуле и поэтому равна нулю. Другой пример. Для хими-
ческой формулы C2F5Cl обозначение по ИСО R115. Цифра 5 характеризует число атомов фтора, цифра 1 означает отсутствие атомов водорода в молекуле и третья цифра от конца на единицу меньше числа атомов углерода.
Часто в литературе галоидные производные продолжают обозначать торговыми марками. Можно встретить такие названия: Gene-
43
tron, Isotron, Arctron, Algofrene, Frigen и др. В России в соответствии с ГОСТ 8502-73 и 19212-73 галоидные производные метана называют хладоны. Таким образом, хладагент R12 российского производства может обозначаться как хладон 12, R22 как хладон 22 и т. д.
Вприложении 1 приведены основные параметры хладагентов:
R11, R12, R13, R14, R21, R22, R23, R113, R114, R115, R12B1, R13B1, RC318, метана (R50) и этана (R170).
Вприложениях 2–16 представлены теплофизические свойства (теплопроводность, кинематическая и динамическая вязкость, плотность, теплоемкость при постоянном давлении и число Прандтля)
указанных выше хладагентов в газообразном состоянии при p = 0,1 МПа по данным справочников и обобщений [4, 5, 9,10, 11].
44
Таблица П1
Общая характеристика холодильных агентов
|
Химиче- |
|
|
|
|
|
|
|
|
|
|
|
|
Хлад- |
ская |
M, |
T , |
T , |
P |
кр |
, |
ρ |
кр |
, |
R, |
ε/k, |
ζ·1010, |
|
|
|
нк |
кр |
|
|
|
|
|
|
|
||
агент |
формула |
кг/кмоль |
К |
К |
МПа |
кг/м3 |
кДж/(кг·К) |
К |
м |
||||
|
|
|
|
|
|
|
|
|
|
||||
R11 |
CFCl3 |
137,368 |
296,95 |
471,15 |
4,381 |
570,2 |
0,06053 |
271,8 |
5,721 |
||||
R12 |
CF2Cl2 |
120,914 |
243,35 |
385,15 |
4,131 |
533,2 |
0,06876 |
254,4 |
5,306 |
||||
R13 |
CF3Cl |
104,459 |
191,65 |
301,99 |
3,870 |
553,2 |
0,07959 |
253,8 |
4,841 |
||||
R14 |
CF4 |
88,005 |
145,15 |
227,49 |
3,773 |
625,6 |
0,09448 |
156,54 |
4,546 |
||||
R21 |
CHFCl2 |
102,923 |
282,07 |
451,65 |
5,181 |
525,0 |
0,08078 |
355,5 |
4,875 |
||||
R22 |
CHF2Cl |
86,469 |
232,35 |
369,28 |
4,986 |
512,8 |
0,09616 |
283,8 |
4,647 |
||||
R23 |
CHF3 |
70,014 |
191,05 |
299,09 |
4,835 |
525,1 |
0,11876 |
250,0 |
4,240 |
||||
R113 |
C2F3Cl3 |
187,376 |
320,75 |
487,3 |
3,414 |
576,4 |
0,04437 |
382,4 |
5,785 |
||||
R114 |
C2F4Cl2 |
170,922 |
276,65 |
418,84 |
3,266 |
585,2 |
0,04864 |
329,4 |
5,644 |
||||
R115 |
C2F5Cl |
154,467 |
234,45 |
353,15 |
3,158 |
613,1 |
0,05383 |
270,2 |
5,501 |
||||
R12B1 |
CF2ClBr |
165,36 |
269,32 |
426,88 |
4,252 |
741,0 |
0,05028 |
270,0 |
5,46 |
||||
R13B1 |
CF3Br |
148,91 |
215,38 |
340,05 |
3,946 |
770,0 |
0,05584 |
221,3 |
5,140 |
||||
RC318 |
C4F8 |
200,031 |
267,18 |
388,47 |
2,780 |
547,9 |
0,04156 |
162,5 |
6,753 |
||||
R50 |
CH4 |
16,043 |
111,66 |
190,77 |
4,626 |
163,5 |
0,51835 |
163,6 |
3,697 |
||||
(метан) |
|
|
|
|
|
|
|
|
|
|
|
|
|
R170 |
C2H6 |
30,070 |
184,62 |
305,42 |
4,934 |
213,8 |
0,27651 |
232,7 |
4,395 |
||||
(этан) |
|
|
|
|
|
|
|
|
|
|
|
|
|
45