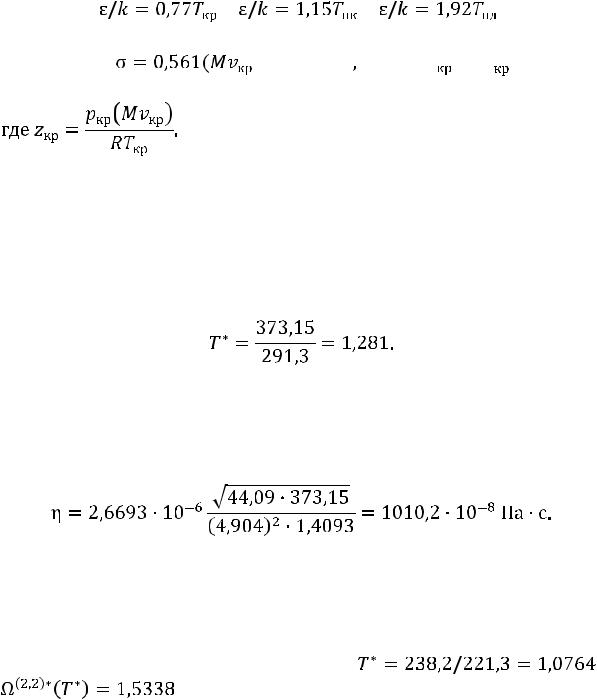
В случае отсутствия экспериментальных данных параметры потенциала ζ и ε определяют с помощью эмпирических, естественно, не очень точных зависимостей от критической температуры Tкр вещества, температуры кипения Tнк, температуры плавления Tпл или мольного объема в критической точке Мvкр:
; |
; |
; |


; 










,
.
Примеры расчета
1.1.Определить динамическую вязкость пропана (С3H8) при
Т= 373,15 К.
Расчет. Из табл. 1.4 для пропана находим: М = 44,09 кг/кмоль; ε/k = 291,3 К; ζ = 4,904·10–10 м. Приведенная температура
Для этой приведенной температуры по табл. 1.2 (либо по формуле (1.13)) находим Ω(2,2)*(T*) = 1,4093, а далее – значение коэффи-
циента динамической вязкости
Экспериментальное значение
= 1018·10–8 Па·с.
1.2. Определить динамическую вязкость хладагента R13B1 (CF3Br) при T = 238,2 К.
Расчет. По табл. 1.4 для R13B1 находим: М = 148,93 кг/кмоль;
ε/k = 221,3 К; ζ = 5,140·10–10 м; |
; |
; |
|
21
Экспериментальное значение
= 1240,8·10–8 Па·с.
1.3. Определить теплопроводность аргона при T = 150 К.
Расчет. По табл. 1.4 для аргона находим: М = 39,944 кг/кмоль; ε/k = 116,0 К; ζ = 3,465·10–10 м; 







;








. Согласно (1.8)
Рекомендуемое табличное значение λ = 960·10–5 Вт/(м·К), 1.4. Определить коэффициент самодиффузии диоксида угле-
рода CO2 при T = |
233 К и p = 105 Па. |
|
Расчет. По табл. 1.4 для CO2 находим: М = 44,011 кг/кмоль; |
||
ε/k = 190,0 К; |
ζ = 3,996·10–10 м; |
; |









Согласно (1.9)
Экспериментальное значение D11 = 0,0662·10–4 м2/с.
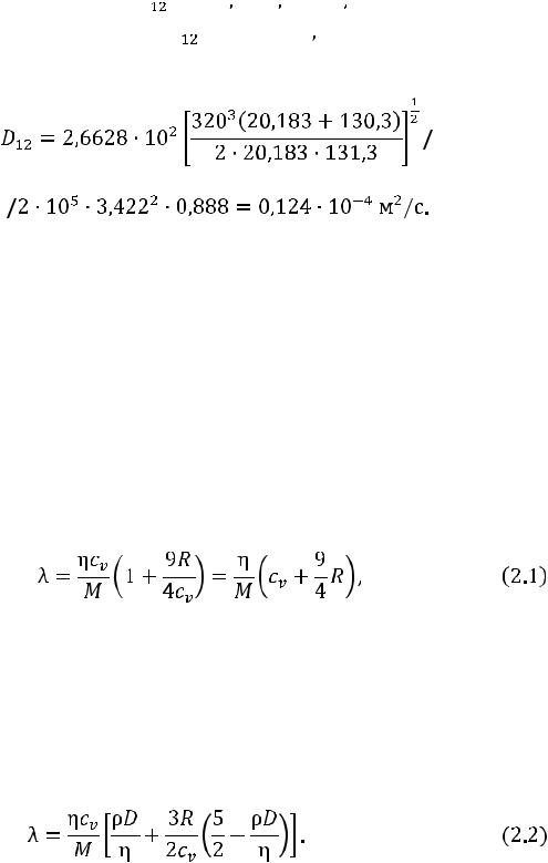
1.5. Определить коэффициент диффузии D12 для смеси Ne–Xe при T = 320 К и p = 0,2 МПа.
Расчет. Обозначим Ne индексом 1, Xe – индексом 2. По дан-
ным табл. 1.4 имеем: М1 = 20,183 кг/кмоль; ε1/k = 35,7 К; ζ1 = 2,789·10–10 м; М2 = 131,300 кг/кмоль; ε2/k = 229,0 К; ζ2 = 4,055· ·10–10 м.
По формулам (1.11)–(1.12), используя правила смешения, получаем
















= 3,422·10–10 м;
22
Приведенная температура 







. По табл. 1.2 для
этой температуры находим 







. Далее, пользуясь формулой (1.10), получаем
2. ТЕПЛОПРОВОДНОСТЬ МНОГОАТОМНЫХ ГАЗОВ
Исключительно для одноатомных газов, молекулы которых не обладают внутренней энергией, справедливо соотношение (1.8). Выводы строгой молекулярно-кинетической теории относительно теплопроводности многоатомных газов не вполне обоснованы, поскольку теплопроводность многоатомных газов во многом зависит от присутствия внутренних степеней свободы.
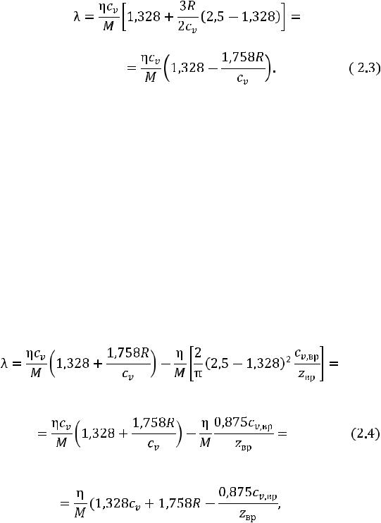
Для расчета теплопроводности многоатомных газов в ряде работ рекомендуется формула [1]
приближенно учитывающая переход энергии между поступательной и внутренними степенями свободы. Более точное выражение получается из предпосылки, что перенос внутренней энергии осуществляется с помощью механизма диффузии. Соображения такого рода приводят к формуле [2]
23
Безразмерное отношение ρD/
почти не зависит от температуры и для модели потенциала Леннарда-Джонса его можно принять равным 1,328.
Тогда имеем
Однако и в этом случае найденные значения теплопроводности заметно расходятся с экспериментальными данными. Это соотношение дает более высокие значения теплопроводности, чем измеренные. При высоких температурах согласование с экспериментом лучше, чем при низких, но эту формулу, тем не менее, используют, когда нужно быстро получить приближенные значения теплопроводности.
Главная причина отклонений расчетных данных от опытных заключается в пренебрежении влиянием неупругих столкновений многоатомных молекул. Наружные столкновения уменьшают вклад в теплопроводность, обусловленный поступательным движением молекул, и увеличивают долю, связанную с внутренней энергией молекул. В целом же эффект неупругих столкновений приводит к снижению суммарного значения теплопроводности. Такие представления приводят к формуле [2, 4, 5]
24
где cv – мольная теплоемкость идеального газа; cv,вр – составляющая удельной теплоемкости, обусловленная вращательными степенями свободы; zвр – число столкновений, необходимых для обмена квантом энергии между поступательной и вращательной степенями свободы.
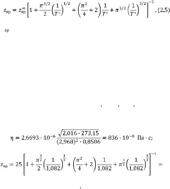
Важной задачей является определение zвр. Хотя возможен теоретический расчет zвр, превалирует оценка числа столкновений по экспериментальным данным о теплопроводности. Однако даже этих результатов в литературе чрезвычайно мало и для приблизительной оценки zвр можно рекомендовать уравнение
где 

.
Развитие теории теплопроводности многоатомных газов далеко не закончено. Тем не менее, приближенное выражение (2.4) лучше согласуется с опытом и позволяет получить удовлетворительные результаты, хотя нельзя надеяться, что для полярных газов результат окажется столь же точным, как и для неполярных.
Примеры расчета
2.1. Вычислить теплопроводность водорода при Т = 273,15 К.
Расчет. По табл. 1.4 определяем параметры модельного потенциала водорода: М = 4,016 кг/кмоль; ε/k = 33,3 К; ζ = 2,968·10–10 м.
Приведенная температура 







.
По табл. 1.2 для потенциала Леннарда-Джонса находим Ω(2,2)*(T*) = 0,8506. Динамическая вязкость рассчитывается по (1.7)


.
25