Материал: Д6868 Цветков ОБ Методы расчета свойств переноса раб веществ хол техн

Внимание! Если размещение файла нарушает Ваши авторские права, то обязательно сообщите нам

По сравнению с моделью Леннарда-Джонса появился третий параметр а – минимально допустимое расстояние между молекулами, при котором потенциальная функция обращается в бесконечность.

Потенциал Кихары по некоторым сведениям позволяет лучше согласовать экспериментальные данные о свойствах переноса и равновесных характеристиках газов.

Потенциал Штокмайера

Для систем, состоящих из полярных молекул, используют так называемый потенциал Штокмайера

где ξ – множитель, учитывающий зависимость энергии взаимодействия от углов ориентации диполей.

Легко заметить, что потенциал Штокмайера является суперпозицией двух моделей: модели (6-12) Леннарда-Джонса и потенциала диполь-дипольного взаимодействия. Действительно, если μ1 или μ2 стремятся к нулю, имеем потенциал Леннарда-Джонса. Как и для модели Леннарда-Джонса, шестая степень описывает притяжение молекул, а двенадцатая степень описывает отталкивающую часть потенциала. Минус третья степень в потенциале Штокмайера учитывает только диполь-дипольное взаимодействие.

Изучение межмолекулярного взаимодействия весьма существенно для исследования свойств и структуры жидкостей, молекулярных кристаллов. Многие физические явления, играющие важную роль в технике, определяются, в конечном счете, межмолекулярными силами. Полезно знать, что характер межмолекулярного взаимодействия оказывает также значительное влияние на свойства переноса.

Согласно современной строгой кинетической теории все свойства переноса оказывается возможным выразить через так называемые интегралы столкновений Ω(l,s). Эти интегралы учитывают всю динамику столкновения молекулы и, следовательно, закон действия межмолекулярных сил. Обычно, в записи выражений для интегралов индекс l означает число молекул, которые одновременно сталкиваются; индекс s – число молекул, влияющих на поведение данной моле-

11

кулы. Заметим, что s не может быть меньше l. Если l = 1, молекулы вообще не сталкиваются. При l = 2 сталкиваются две молекулы, при l = 3 – три молекулы.

Формулы строгой молекулярно-кинетической теории, включающие интегралы столкновений для динамической вязкости, имеют вид [1]

где Ω(2,2)*(T*) – приведенный интеграл столкновений; ε/k – параметр модельного потенциала, К.

Для теплопроводности

Для коэффициента самодиффузии строгая молекулярно-кине- тическая теория приводит к следующему выражению

где Ω(1,1)*(T*) – приведенный интеграл столкновений.

Коэффициент диффузии бинарной смеси газов может быть вычислен по формуле

где ζ12 – параметр потенциальной функции, характеризующий взаимодействие молекул компонентов бинарной газовой смеси, 10–10 м; Ω12(1,1)*(T*) – приведенный интеграл столкновений для бинарной смеси.

Подчеркнем, что для вычисления свойств переноса газовой смеси используют комбинационные соотношения (правила смеше-

12

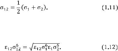
ния). Taк, расстояние ζ12 между центрами двух молекул с диаметрами ζ1 и ζ2 при их столкновении вычисляется по простой зависимости

Для глубины потенциальной ямы ε12 имеем комбинационное соотношение

Зная ε12, определяют Т* = Т(ε/k)–1 и по величине T*, используя специальные таблицы, находят интеграл столкновений Ω12(1,1)*(T*).

Не вдаваясь в детали строгой кинетической теории газов (этот материал выходит за рамки настоящего курса), отметим, что в целом можно считать разработку теории завершенной. Существенны, однако, допущения, принятые при построении этой теории и ограничивающие возможности ее применения.

Прежде всего, уравнения (1.7)–(1.10) описывают поведение газов при малых плотностях и состоящих из одноатомных молекул (молекулы не имеют внутренних степеней свободы, потенциал взаимодействия сферически симметричен). Молекулы многоатомных газов обладают внутренними степенями свободы, их потенциал взаимодействия, строго говоря, не является сферически симметричной функцией. Эти два фактора различным образом влияют на коэффициенты переноса. Влияние внутренней энергии молекул отражается в первую очередь на тех коэффициентах переноса, которые связаны с переносом молекулами кинетической энергии. Вязкость и коэффициент диффузии несущественно зависят от наличия внутренних степеней свободы. На практике теория одноатомных газов успешно применяется для расчетов и D многоатомных молекул при условии, что форма молекул не слишком отличается от сферической. Еще раз подчеркнем, что уравнение (1.8) применимо для расчета теплопроводности только молекул одноатомных газов (таких, как криптон, ксенон, аргон, неон, диссоциированные газы).

Существуют верхний ρmax и нижний ρmin плотностные пределы применимости уравнений (1.7)–(1.10).

13

При очень малых плотностях газ не является сплошным, а скорее проявляет свойства дискретной среды: молекулы газа в этом случае чаще сталкиваются со стенками содержащего газ сосуда, чем друг с другом. Минимальное предельное значение плотности газа можно оценить из условия [1]–[3].

где δ – характерный размер сосуда; L – средняя длина свободного пробега молекул.

Причем

При p = 0,1 МПа средняя длина свободного пробега L очень мала (порядка 10–7 м). Однако с понижением давления L резко возрастает и при р = 0,01 Па может составлять около 0,5 м. Расчеты показывают, например, что минимально допустимая для применения уравнений (1.7)–(1.10) плотность неона, находящегося в трубке диаметром 2 мм при Т = 300 К, соответствует давлению 200 Па.

Кинетическая теория рассматривает только парные столкновения, результаты ее неприменимы при больших плотностях, когда коэффициенты переноса начинают зависеть от столкновений трех и более молекул. Предельное значение плотности ρmax можно оценить, по величине приведенной длины свободного пробега

Формулы (1.7)–(1.10) можно использовать с погрешностью 1 % до значений l* ~ 30, с погрешностью 2 % до l* ~ 12, а с погрешностью 5 % до l* ~ 6.

Проведенные расчеты показывают, что для аргона и неона при T = 300 К ошибка не более 2 % соответствует давлению 3 МПа. Этот факт подтверждается экспериментально, и поэтому в диапазоне дав-

14

лений от 133 Па до 2–3 МПа свойства переноса при инженерных расчетах можно считать зависящими только от температуры, а влияние давления не учитывать [3].

Подчеркнем, однако, что погрешность расчета по формулам (1.7)–(1.10) резко возрастает вблизи кривой насыщения и в околокритической области.

Практическое использование уравнений строгой кинетической теории для расчета свойств переноса требует решения вопроса о выборе модельного потенциала. С инженерной точки зрения для большинства газов со сферически симметричным силовым полем молекул удовлетворительные результаты достигаются при применении потенциалов (6-12) Леннарда-Джонса и Штокмайера.

Погрешность расчета значений свойств переноса с помощью этих моделей соизмерима с точностью экспериментальных данных и составляет величину порядка 1–2 %.

Потенциалы Леннарда-Джонса и Штокмайера являются всего лишь очередным приближением к истинному потенциалу межмолекулярного взаимодействия и их возможности, естественно, ограничены. В частности, набором постоянных значений параметров потенциала удается описать поведение кинетических коэффициентов лишь в ограниченном интервале температур.

Параметры модельных потенциалов на практике обычно определяют не теоретически, а из экспериментальных данных, предполагая наличие табулированных величин приведенных интегралов

столкновений. Такие табуляции приведены для интегралов

Ω12(1,1)*(T*) и Ω12(2,2)*(T*) в табл. 1.2–1.3.

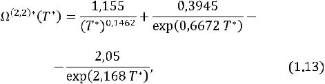
Удобно использовать аппроксимирующие выражения для температурной зависимости приведенных интегралов столкновений. Для потенциала Леннарда-Джонса аппроксимирующие функции имеют вид

15