Материал: Д6736 Вороненко БА Введение в математ моделирование

Внимание! Если размещение файла нарушает Ваши авторские права, то обязательно сообщите нам

в объекте моделирования. У модели могут появиться некоторые свойства, которых нет у объекта, и наоборот, некоторые важные свойства у модели могут потеряться или стать второстепенными. Вследствие этого результаты исследования моделей не всегда можно использовать для моделирования объекта.

Аналоговые (от греческого analogos – соответственный, соразмерный) – это моделирование, основанное на аналогии процессов и явлений, имеющих различную физическую природу, но одинаково описываемых формально (одними и теми же математическими соотношениями, логическими и структурными схемами).

В основу аналогового моделирования положено совпадение математических описаний различных объектов. Примерами аналоговых моделей могут служить электрические и механические колебания, которые с точки зрения математики описываются одинаковыми соотношениями, но относятся к качественно отличающимся физическим процессам. Поэтому изучение механических колебаний можно вести с помощью электрической схемы, и наоборот.

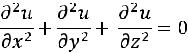
Весьма интересен следующий факт. Уравнение математической физики – уравнение Лапласа

описывает такие явления, как гравитационные, оптические, акустические, электромагнитные излучения, морские волны, полет самолета, колебания упругих тел и строение атома, в том числе стационарное тепловое поле и стационарное электростатическое поле. Температурные измерения менее точны и более трудоемки, чем электрические. Вместо температурных можно производить аналогичные электрические измерения, создав соответствующее u поле. В тепловом поле функция u – температура, в электростатическом – электрический потенциал.

Здесь полностью применимо высказывание великого физика и математика А.Пуанкаре: «Математика – это искусство называть разные вещи одним и тем же именем».

Приведем характерные примеры моделей, представляющие исследуемый объект аналогами, которые ведут себя как реальные объекты, но не выглядят таковыми.

11

Пример 1. График, иллюстрирующий соотношения между затраченными усилиями и результатами:

R

Отл.

Хор.

Удовл.

t1

t2

t3

t, ч

Рис. 1. Зависимость качества знаний от времени подготовки

График на рис. 1 показывает, какое количество времени t, отведенное студентом на подготовку к экзамену, влияет на результат R его сдачи.

Пример 2. Предположим [11], что нужно найти наиболее экономичный способ для регулярных известных поставок товаров в три города, построив для этого только один склад. Основное требование: место для склада должно быть таким, чтобы полные транспортные расходы были наименьшими (считается, что стоимость каждой перевозки равна произведению расстояния от склада до пункта назначения на общую массу перевозимых товаров и измеряется в тонно-ки- лометрах).

Стоимость дорог, которые придется построить заново, для простоты рассуждения в расчет не принимается. Предлагается читателям решить задачу самостоятельно.

Модели физического и аналогового типов являются материальным отражением реального объекта и тесно связаны с ним своими геометрическими, физическими и прочими характеристиками. Фактически процесс исследования моделей данного типа сводится к проведению ряда натурных экспериментов, где вместо реального объекта используется его физическая или аналоговая модель.

Часто процесс исследования значительно упрощается, если воспользоваться методом математического моделирования.

12

4. МАТЕМАТИЧЕСКОЕ МОДЕЛИРОВАНИЕ

Бывает, что во время урока математики, когда даже воздух стынет от скуки, в класс со двора влетает бабочка…

А.П. Чехов «Шампанское»

Не то, что мните вы, природа: Не слепок, не бездушный лик – В ней есть душа, в ней есть свобода,

В ней есть любовь, в ней есть язык...

Ф.И. Тютчев

Философия (система идей, взглядов на мир, на место в нем человека; наука о наиболее общих законах развития природы, общества и мышления) написана в грандиозной книге – Вселенной, которая открыта нашему пристальному взгляду. Но понять эту книгу может лишь тот, кто научится понимать ее язык и знаки, которыми она изложена. Написана же она на языке математики.

Г. Галилей

Слово «математика» происходит от древнегреческого

mathëmatikë со значением наука, учение, знание, познание, а то, в свою очередь, восходит к глаголу, первоначальное значение которого «учусь через размышление». (Конфуций: «Учение без размышлений тщетный труд, размышления без учения пагубны»).

«Можно поставить вопрос – в чем же смысл таких моделей? Ответ на него очень прост. Такие модели позволяют лицам определенной интеллектуальной настроенности понимать поведение системы лучше, чем если бы оно было изложено вербально. Это происходит, видимо, потому, что математический язык и, в частности, язык дифференциальных уравнений обладает очень высокой степенью общности. У ученого, владеющего этим языком, сразу же возникает множество ассоциаций с аналогичными, хорошо известными ему ситуациями, описываемыми такими же уравнениями. Математическая модель сразу же становится на свое место в системе тех представлений, которыми располагает ученый, мыслящий на языке

13

математики. Но все это вызывает страшное раздражение со стороны представителей гуманитарных наук, для которых язык математики все же остается лишь плохо выученным иностранным языком. Их точку зрения можно сформулировать так: зачем говорить и мыслить на неродном языке?»

(Налимов В.В. Теория эксперимента. – Физико-математичес- кая библиотека инженера. – М.: Наука, Главная редакция физикоматематической литературы, 1971. – 280 с.)

Под математическим моделированием понимают изучение свойств объекта на математической модели. Его целью является определение оптимальных условий протекания процесса, управление им на основе математической модели и перенос результатов на объект. Математической моделью называется приближенное описание какого-либо класса явлений, объектов внешнего мира, выраженное с помощью математических понятий и символики.

Математическая модель реальной системы является ее формализованным описанием, позволяющим изучить систему математическими методами. Обычно она состоит из совокупности соотношений (уравнений, неравенств, логических условий, формул и т.д.), определяющих характеристики состояний системы в зависимости от ее параметров, входных сигналов, начальных и граничных условий, времени и др. Формализованное описание системы включает в себя содержательное описание и схему. Содержательное описание составляется на основании изучения теоретических основ процесса, имеющихся сведений о физической природе и количественных характеристиках элементарных явлений, происходящих в системе, о степени и характере взаимодействия между ними, о значении того или иного явления и т.д. Содержательное описание облегчает построение формализованной схемы реальной системы, которая позволяет разложить ее на простейшие элементы. Процессы, происходящие в этих элементах, как и взаимосвязь между ними, упрощаются. Это позволяет построить математическую модель реальной системы, для чего все имеющиеся сведения в виде таблиц или графиков записывают в виде соответствующих математических выражений.

Математическая модель в силу упрощения процессов, происходящих в элементах системы, не всегда полностью соответствует

14

(адекватна) ей. Но даже и в этом случае количественные исследования математической модели позволяют получить качественное описание реальной системы.

На рисунке 2 дана общая схема проведения аналитического исследования.

 

 

 

 

 

 

 

 

 

 

 

 

 

 

 

 

Постановка (формулировка) задачи моделирования:

 

 

 

 

1)

изучение теоретических основ процесса (объекта);

 

 

 

 

2)

выбор параметров процесса;

 

 

 

 

 

 

 

 

 

 

 

 

 

 

 

3)

определение цели и критериев.

 

 

 

 

 

 

 

 

 

 

 

 

 

Составление математического

 

 

Построение модели

 

 

 

 

 

 

 

описания

 

 

 

 

 

 

 

 

 

 

 

 

 

 

 

 

 

 

 

 

 

 

 

 

 

 

 

 

 

 

 

 

 

 

 

 

 

 

 

 

 

 

 

 

 

Выбор

 

 

 

Логический

 

 

 

 

 

 

 

 

 

 

 

 

 

 

 

 

 

 

 

 

 

 

 

 

 

 

 

 

 

 

 

 

 

 

 

 

 

 

 

 

 

метода

 

 

 

 

 

 

 

 

 

 

 

 

 

 

 

 

 

 

 

 

 

 

 

 

 

 

решения

 

 

 

 

Аналитический

 

 

 

 

 

 

Решение

 

 

 

 

 

 

 

 

 

 

 

 

 

 

 

 

 

 

 

 

 

 

 

 

 

 

 

 

 

 

 

 

 

 

 

 

 

 

 

 

 

 

 

 

 

 

 

 

 

 

 

 

 

 

 

 

 

 

Численный

 

 

 

 

 

 

Анализ

 

 

 

с

применением

 

 

 

 

 

полученной

 

 

 

 

 

 

 

 

 

 

 

 

 

 

компьютера

 

 

 

 

 

информации

 

 

 

 

 

 

 

 

 

 

 

 

 

 

 

 

 

 

 

 

 

 

 

 

 

 

 

 

 

Оценка адекватности модели изучаемому объекту

Использование математической модели

Рис. 2. Общая схема математического моделирования

15