разрушения замороженного брикета рыбы на тушки с применением электрогидравлического удара при подготовке к размораживанию без снижения потребительских свойств продукта. Принцип действия электрогидравлических установок основан на применении электрогидравлического эффекта Л.А. Юткина, который представляет собой высоковольтный импульсный разряд электрического тока при перегорании проволочки в жидкости, сопровождающийся выделением энергии в виде ударных и акустических волн. В электрогидравлическом эффекте используется энергия, накопленная в конденсаторной батарее. В результате электрического разряда, проходящего в жидкой среде, формируется канал, представляющий собой парогазовую полость, расширение которой сопровождается волнами давления и скоростным потоком, образующим мощный электрогидравлический удар, разрушающий ледяные мостики в замороженном брикете рыбы.
Компоновка технологической установки для разрушения брикетов замороженной рыбы с использованием электрогидравлического удара предусматривает размещение источника возбуждаемых колебаний от поверхности размораживаемого брикета на расстоянии, соизмеримом с длиной самого источника колебаний. Это позволяет в первом приближении считать рассматриваемую задачу распространения колебаний одномерной, предполагая, что вне зоны, ограниченной вертикалями а и b, влияние электрогидравлического удара ничтожно мало (рис. 8)
Рис. 8. Схема зоны электрогидравлического воздействия на брикет замороженной рыбы:
1 – брикет замороженной рыбы, 2 – взрывающаяся проволочка, 3 – цилиндрическая разрядная камера
36
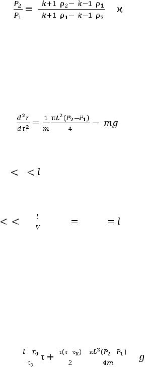
В результате использования теоремы об изменении импульса (количества движения) и уравнения неразрывности в предположении, что скачок уплотнения при электрогидравлическом ударе сопровождается образованием парогазовой смеси, и что среда в рассматриваемом выделенном объеме отвечает условиям адиабатного расширения, выводится известное уравнение Гюгонио
= , |
(1) |
где Р1 и Р2 – давления на плоскостях S1 и S2 соответственно; k – показатель адиабаты; ρ1, ρ2 – плотность жидкости в сечениях S1 и S2,
S1 = S2 = S – площадь сечения.
Нахождение давления Р2 может быть обеспечено уточнением процесса, происходящего в плоскости S инициирования волны, за счет учета ускорения расширения парогазовой полости:
, |
(2) |
(основное уравнение динамики), где r – радиус парогазовой полости, м
r0 r , при τ = 0 r = r0; |
(3) |
τ – время расширения парогазовой полости текущее, с,
0 τ τк= |
|
; при τ τк r |
; |
(4) |
|
L – длина взрываемой проволочки, м;
m – масса брикета замороженной рыбы, кг; g – ускорение свободного падения, м/с2;
V – скорость ударной волны, м/с; r0 – радиус проволочки, м;
– расстояние между плоскостями, м.
Решение обыкновенного дифференциального уравнения второго порядка (2) с учетом условий (3) и (4) получаем в виде
r – r0 = |
|
|
|
|
|
|
|
|
|
|
|
|
|
. |
(5) |
|
|
|
|||||||||||||
|
37 |
|
|
|
|
|
|
||||||||
|
|
|
|
|
|
|
|
|
|
|
|
||||
При использовании уравнения Гюгонио (1) окончательное решение для нахождения искомого давления будет
Р2 = 











. (6)
Выражение (6) является математической моделью интенсивного разрушения замороженного брикета рыбы импульсным высоковольтным разрядом и может быть использовано для количественной оценки давления на нижнюю поверхность брикета рыбы. Это давление должно превышать прочность ледяных мостиков (
лд), но быть меньше прочно-
сти мышц рыбы (
рб):
лд
Р2 
рб), (5 МПа
Р2
30 МПа). Подставив известные значения m, r, r0, L,
, τ, τк,
в уравне-
ние (6), получим графическую зависимость давления ударной волны на нижнюю поверхность брикета в зависимости от времени расширения парогазовой полости (рис. 9)
Р2, МПа |
|
|
|
|
|
|
|
|
800 |
|
|
|
|
|
|
|
|
|
|
|
|
|
|
|
|
|
600 |
|
|
|
|
|
|
|
|
|
● |
|
|
|
|
|
|
|
400 |
|
|
|
|
|
|
|
|
|
|
|
|
|
|
|
|
|
|
|
|
|
|
|
|
|
|
200 |
|
|
|
● |
|
|
|
|
|
|
|
|
|
● |
● |
● |
|
|
|
|
|
|
|
|||
0 |
0,1 |
0,2 |
0,3 |
0,4 τ, мс |
||||
Время расширения парогазовой полости, мс |
|
|
||||||
Рис. 9. Оценка давления на нижнюю поверхность брикета рыбы
38
10.ЗАКЛЮЧЕНИЕ
Внастоящем пособии рассмотрены основные определения
изадачи моделирования, классификация моделей и некоторые частные вопросы математического моделирования, а также отдельные примеры и задачи теоретического описания основных типов процессов (механических, тепломассообменных), характерных для пищевых
ихолодильных машин и технологий. Этими вопросами не исчерпывается, разумеется, вся проблема математического моделирования процессов энерго- и массообмена, осуществляемых в соответствующих технологиях и аппаратах, однако такое подробное рассмотрение конкретных практикоориентированных примеров является хорошей методической основой для решения любых задач, которые ставит отрасль перед выпускником высшей школы.
39
СПИСОК ЛИТЕРАТУРЫ
1.Орлов В.В., Селевцов А.Л. Математическое моделирование машин и аппаратов пищевых производств. Конспект лекций. – СПб.: СПбГУНиПТ, 2003. – 55 с.
2.Закгейм А.Ю. Введение в моделирование химико-техноло- гических процессов. – М.: Химия, 1982. – 288 с.
3.Кафаров В.В., Глебов М.Б. Математическое моделирова-
ние основных процессов химических производств: Учеб. пособие для вузов. – М.: Высш. шк., 1991. – 440 с.
4.Ашихмин В.Н., Гитман М.Б., Келлер И.Э. и др. Введение
вматематическое моделирование: Учеб. пособие / Под. ред. П.В. Трусова. – М.: Логос, 2005. – 440 с.
5.Самарский А.А., Михайлов А.П. Математическое моделирование: Идеи. Методы. Примеры. – М.: ФИЗМАТЛИТ, 2005. – 320 с.
6.Батунер Л.М., Позин М.Е. Математические методы в хими-
ческой технике. – Л.: Химия, 1968. – 824 с.
7.Пономарев К.К. Составление дифференциальных уравнений. Минск.: Вышэйш. шк., 1973. – 560 с.
8.Кудашов В.Н., Рыков В.А., Тестов Ю.Н. Элементы мате-
матической физики. – СПб.: СПбГУНиПТ, 2006. – 35 с.
9.Алексеев Г.В., Вороненко Б.А., Лукин Н.И. Математические методы в пищевой инженерии: Учеб. пособие. – СПб.: Изд-во «Лань», 2012. – 176 с.
10.Касаткин А.С. Основные процессы и аппараты химической технологии. – М.: Химия, 1971. – 784 с.
11.Смирнова Г.П., Смирнов А.А., Буркацкая О.А. Сравни-
тельный анализ развития малого предпринимательства в СЗФО РФ. – 2011.
12. Антуфьев В.Т., Вороненко Б.А., Бычихин О.В., Пелен-
ко В.В. Количественная оценка давления на поверхность брикета замороженной рыбы при импульсном высоковольтном разряде // Научный журнал НИУ ИТМО. Серия: «Процессы и аппараты пищевых производств». 2013. № 2. С. 13–16.
40