Материал: Д6711 Федорова РА Санитария и гигиена

Внимание! Если размещение файла нарушает Ваши авторские права, то обязательно сообщите нам

или фанера), в центре которого очерчен черный квадрат площадью 4 см2.

Границы квадрата обвести ватным тампоном, смоченным в расплавленном парафине. Застывшая парафиновая рамка не дает растекаться нанесенной жидкости за границу площади.

2. Приготовление препарата.

Отвесить на технических весах 10 г полуфабриката. Тщательно размешать его и поместить в фарфоровую чашку.

Отмерить мерным стаканом 500 мл водопроводной воды и постепенно добавлять воду к полуфабрикату, тщательно растирая его стеклянной палочкой.

Полученную суспензию перенести в колбу вместимостью 1 л, закрыть пробкой и энергично встряхивать в течение 1 мин. При этом разрушаются скопления микробных клеток, которые отделяются от частичек муки.

Каплю полученной взвеси нанести хорошо калиброванной пипеткой на предметное стекло и распределить на ограниченной парафином площади, осторожно покачивая предметное стекло.

Препарат подсушить на воздухе, зафиксировать спиртом с формалином (75 % спирта 96 %-го и 1,9 % формалина). Высохший препарат окрасить метиленовым синим и выдержать 10–15 мин. Затем осторожно промыть под струей воды и высушить.

3. Микроскопирование препарата.

Препарат поместить на предметный столик микроскопа под объективом и укрепить зажимами. Затем просмотреть в нем 50 полей зрения. В каждом поле зрения подсчитать количество дрожжей и бактерий и суммировать их.

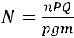
4. Расчет количества клеток дрожжей и бактерий производится по формуле

,

(7)

где n – среднее арифметическое число клеток в одном поле зрения; Р – площадь препарата (400 мм2); Q – количество воды, взятое на разбавление пробы мл; р – площадь поля зрения микроскопа, мм2; g – объем одной капли препарата, мл; m – количество взятого полуфабриката (10 г).

Для определения объема одной капли взвеси отсчитать 10 капель суспензии. Объем одной капли составит 0,1 % от общего коли-

26

чества жидкости, выпущенной из пипетки (например, объем 10 капель равен 0,5 мл, тогда объем одной капли будет равен 0,05 мл).

5. Написать отчет о проделанной работе.

РАБОТА 14 САНИТАРНО-БАКТЕРИОЛОГИЧЕСКОЕ ИССЛЕДОВАНИЕ МОЛОКА И МОЛОЧНЫХ ПРОДУКТОВ

В хлебопечении широко используют молоко и молочные продукты. Они являются благоприятной питательной средой для развития различных групп микроорганизмов. К микроорганизмам, вызывающим порчу молока, относятся молочнокислые, гнилостные. слизеобразующие, маслянокислые, пигментообразующие бактерии, дрожжи, мицелиальные грибы, бактерии кишечной группы, патогенные бактерии.

Молочнокислые бактерии сбраживают молочный сахар с образованием молочной кислоты. В результате молоко скисает. Гнилостные бактерии вызывают прогоркание. Слизеобразующие бактерии приводят к тягучести молока. Маслянокислые бактерии приводят к брожению молока, в результате оно скисает и приобретает неприятный вкус и запах. Пигментообразующие бактерии вызывают посинение и покраснение молока. Бактерии кишечной группы вызывают свертывание молока с образованием диоксида углерода.

Молоко и молочные продукты могут стать источником пищевых отравлений. Это происходит, если в молоко попадает золотистый стафилококк. Такое загрязнение может произойти при доении.

Для предотвращения порчи молока его пастеризуют и хранят при температуре не выше 8 оС.

Цель работы. Определить степень зараженности молока кишечной палочкой.

Приборы и посуда: термостат, стерильные колбы, чашки Петри, пипетки, пробирки, лупы с увеличением в 8 –10 раз.

Материалы и реактивы: молоко и молочные продукты.

Порядок выполнения работы:

1. Отбор пробы.

Молоко и молочные продукты из крупной тары отбирают в количестве не менее 0,25 л в стерильные колбы.

2. Определение общего количества бактерий в молоке.

27

Готовят специальные разведения для посевов следующим образом: для получения разведения 1:10 стерильной пипеткой отбирают 1 мл молока или молочных продуктов и вносят их в 9 мл стерильного физиологического раствора. Из первого разведения 1:10 аналогично готовят последующие – 1:100 и т. д. Для приготовления каждого разведения берут новую стерильную пипетку. При посеве на чашки Петри посевной материал вносят от большего разведения к меньшему.

От каждого разведения делают посев на 2–3 чашки Петри по 1 мл разведения. Затем в чашки Петри наливают по 12–15 мл расплавленного и остуженного до 45 °С мясопептонного агара. При посеве и заливке агаром крышку чашки Петри быстро приподнимают и опускают, чтобы чашка не оказалась открытой.

После заливки агара содержимое чашки Петри тщательно перемешивают, вращая и покачивая, чтобы равномерно распределить посевной материал. Затем застывший агар в чашках Петри перевертывают крышками вниз и ставят в термостат, в котором установлена температура 37 °С, на 48 ч.

Подсчитать, пользуясь лупой, количество выросших колоний в каждой чашке, поместив ее вверх дном (без крышки) на темном фоне. Для подсчета общего количества бактерий в 1 см3, или 1 г образца, число колоний, выросших в каждой чашке, умножить на соответствующее разведение. Полученные результаты по отдельным чашкам сложить, разделить на количество подсчитанных чашек и рассчитать среднее арифметическое.

3. Определение бактерий кишечной группы.

Степень обсеменения продуктов бактериями кишечной группы, или коли-титр, означает наименьшее количество продукта, выраженное в граммах или миллиграммах, в котором обнаружены бактерии группы кишечной палочки.

Подготовить разведения молока и молочных продуктов по методике, описанной выше. По 1 мл от каждого разведения засеять

впробирки со средой Кесслера и пробирки поместить на 18–24 ч

втермостат при температуре 43 °С.

Пробирки с посевами просмотреть и установить коли-титр по описанной выше методике.

Продукт считается незагрязненным кишечной палочкой при отсутствии помутнения и образования газа в среде.

4. Написать отчет о проделанной работе.

28

РАБОТА 15 МИКРОБИОЛОГИЧЕСКОЕ ИССЛЕДОВАНИЕ

МОЛОКА – ПРОБА НА РЕДУКТАЗУ

Проба на редуктазу является косвенным показателем обсемененности непастеризованного молока.

Цель работы. Провести микробиологическое исследование непастеризованного молока.

Приборы и посуда: стерильная колба с пробкой, сушильный шкаф, автоклав, водяная баня, пробирки, термостат.

Материалы и реактивы: молоко и метиленовый голубой.

Порядок выполнения работы.

1. Отбор пробы.

Для определения редуктазы отбирают среднюю пробу молока после органолептической оценки. Тщательно перемешивают стерильным черпаком. В стерильную колбу отбирают 50 мл молока и закрывают стерильной пробкой. Горлышко колбы и пробку обертывают бумагой и обвязывают. Микробиологическое исследование продукта проводят тотчас же или не позднее 4 ч с момента отбора пробы.

2. Подготовка посуды и материалов.

Новую посуду кипятят в подкисленной воде в течение 15 мин. Воду предварительно подкисляют 1–2 %-м раствором соляной кислоты. Вымытую посуду стерилизуют в сушильном шкафу при температуре 160 °С в течение 2 ч или в автоклаве при 0,1 МПа в течение 20 мин, затем подсушивают.

Чашки Петри, пипетки, пробирки заворачивают в бумагу и стерилизуют. В конец пипетки, который берут в рот, предварительно вкладывают кусочек ваты. Каучуковые пробки заворачивают в бумагу и стерилизуют в автоклаве. Стерильную посуду хранят в плотно закрывающихся шкафах или ящиках с крышками.

3. Проба на редуктазу.

В пробирки наливают по 1 мл рабочего раствора метиленового голубого и по 20 мл исследуемого молока, закрывают пробками и смешивают путем медленного трехкратного переворачивания. Пробирки помещают в водяную баню с термостатом при температуре воды 38 °С. Вода в водяной бане после погружения пробирок с молоком должна доходить до уровня жидкости в пробирке или быть немного выше. Температуру воды следует поддерживать в пределах 38–40 °С.

29

Момент погружения пробирок в водяную баню считают началом анализа. Наблюдение за изменением окраски ведут последовательно через 20 мин, через 2 ч, через 5,5 ч после начала анализа. Окончанием опыта считают момент обесцвечивания окраски молока. В зависимости от продолжительности обесцвечивания пробу относят к одному из классов (табл. 3).

 

 

 

Таблица 3

 

Микробиологическое исследование молока

 

 

 

 

Класс

Оценка качества

Время

Количество бакте-

 

молока

обесцвечивания

рий в 1 мл молока

Первый

Хорошее

Более 5,5 ч

Менее 500 тыс.

Второй

Удовлетворительное

От 2 до 5,5 ч

От 500 тыс. до

 

 

 

4 млн

Третий

Плохое

Более 20 мин до 2 ч

От 4 млн до

 

 

 

20 млн

Четвертый

Очень плохое

До 20 мин

20 млн и более

4. Написать отчет о проделанной работе.

КОНТРОЛЬНЫЕ ВОПРОСЫ

КЛАБОРАТОРНОМУ ПРАКТИКУМУ

1.Каковы способы стерилизации?

2.Приготовление питательных сред. Какие бывают питательные среды?

3.Как готовят питательные среды?

4.Что понимают под чистой культурой?

5.Каков состав микрофлоры почвы?

6.Какие микроорганизмы находятся в воздухе?

7. От чего зависит количество и состав микроорганизмов

вводе?

8.Жесткость воды.

9.Активность воды.

10.Взаимосвязь влажности пищевых продуктов и показателя активности воды.

11.Какие требования предъявляют к питьевой воде?

30