Материал: baldin_kv_red_matematika_dlia_gumanitariev

Внимание! Если размещение файла нарушает Ваши авторские права, то обязательно сообщите нам

(12.10)

называемое также статистическим или выборочным средним.

Покажем, что оценка удовлетворяет всем требованиям, предъявляемым к оценке любого параметра.

1. Из выражения (12.10) следует, что

т. е. оценка — несмещенная оценка.

2. Согласно теореме Чебышева, среднее арифметическое результатов испытаний сходится по вероятности к математическому ожиданию, т. е.

Следовательно, оценка (12.10) есть состоятельная оценка математического ожидания.

. Дисперсия оценки , равная

(12.11)

с ростом объема выборки n неограниченно убывает. Доказано, что если случайная величина X подчинена нормальному закону распределения, то при любом n дисперсия (12.11) будет минимально возможной, а оценка — эффективной оценкой математического ожидания. Знание дисперсии оценки позволяет вынести суждение относительно точности определения неизвестного значения математического ожидания с помощью этой оценки.

В качестве оценки математического ожидания среднее арифметическое используется в том случае, если результаты измерений равноточные (дисперсии D[Xi], i = 1, 2, …, n одинаковы в каждом измерении). Однако на практике приходится сталкиваться с задачами, в которых ре-

406

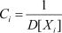
зультаты измерений неравноточные (например, в процессе испытаний измерения производятся различными приборами). В этом случае оценка для математического ожидания имеет вид

(12.12)

где — вес i-го измерения.

В формулу (12.12) результат каждого измерения включается со своим весом Ci. Поэтому оценку результатов измерений называют средневзвешенной.

Можно показать, что оценка (12.12) является несмещенной, состоятельной и эффективной оценкой математического ожидания. Минимальная дисперсия оценки определяется выражением

(12.1 )

При проведении экспериментов с моделями на ЭВМ подобные задачи возникают в том случае, когда оценки находят по результатам нескольких серий испытаний и число испытаний в каждой серии различно. Например, проведены две серии испытаний объемом n1 и n2, по результатам которых получены оценки и . С целью повышения точности и достоверности определения математического ожидания результаты этих серий испытаний объединяют. Для этого следует воспользоваться выражением (12.12)

где j — число серий испытаний.

407

При вычислении коэффициентов Cj вместо дисперсий D[Xj] подставляют их оценки, полученные по результатам испытаний в каждой серии

где nj — число испытаний в j-й серии;

— оценка математического ожидания полученная по результатам j-й серии испытаний.

Аналогичный подход используют и при определении вероятности наступления случайного события по результатам серий испытаний.

Для оценивания математического ожидания случайной величины X, кроме выборочного среднего, могут использоваться и другие статистики. Чаще всего для этих целей используют члены вариационного ряда, т. е. порядковые статистики x1 # x2 # … # xr # … xn, на базе которых строят оценки, удовлетворяющие основным из предъявляемых требований, а именно состоятельности и несмещенности.

Предположим, что вариационный ряд содержит n = 2k членов. Тогда в качестве оценки математического ожидания может быть принято любое из средних:

При этом k-е среднее

есть не что иное, как статистическая медиана распределения случайной величины X, поскольку имеет место очевидное равенство

P*(Xi < Me*) = (Xi > Me*).

Преимущество статистической медианы состоит в том, что она свободна от влияния аномальных результатов наблюдений, неизбежного при использовании первого среднего, т. е. среднего из наименьшего и наибольшего числа вариационного ряда.

408

При нечетном объеме выборки n = 2k 2 1 статистической медианой является ее средний элемент, т. е. k-й член вариационного ряда Me* = xk.

Существуют распределения, у которых среднее арифметическое не является эффективной оценкой математического ожидания, например распределение Лапласа. Можно показать, что для распределения Лапласа эффективной оценкой математического ожидания является выборочная медиана.

Доказано [10, 15], что если случайная величина X имеет нормальное распределение, то при достаточно большом объеме выборки закон распределения статистической медианы близок к нормальному с числовыми характеристиками:

M[Me*] = M[X];

(12.14)

Из сравнения формул (12.11) и (12.14) следует, что дисперсия статистической медианы в 1,57 раза больше дисперсии среднего арифметического. Следовательно, среднее арифметическоекакоценкаматематическогоожиданиявостолькожераз эффективнее статистической медианы. Однако из-за простоты вычислений, нечувствительности к аномальным результатам измерений («засоренности» выборки) на практике в качестве оценки математического ожидания тем не менее используют статистическую медиану.

Следует отметить, что для непрерывных симметричных распределений математическое ожидание и медиана совпадают. Поэтому статистическая медиана может служить хорошей оценкой математического ожидания лишь при симметричном распределении случайной величины.

Для несимметричных распределений статистическая медиана Me* имеет существенное смещение относительно математического ожидания, поэтому для его оценивания непригодна.

409

12.4.3.Оцениваниедисперсииистандартногоотклонения случайнойвеличины

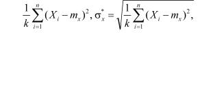
На практике часто возникает необходимость определения оценок и характеристик рассеивания Dx и sx результатов испытаний относительно математического ожидания случайной величины X. При решении этой задачи различают два случая: математическое ожидание случайной величины X известно и математическое ожидание неизвестно. Для вычисления оценок указанных характеристик используют выражения (статистики):

(12.15)

где k — число степеней свободы:

k = n, если математическое ожидание известно;

k = n 2 1, если математическое ожидание неизвестно. При неизвестном математическом ожидании в формулы

(12.15) вместо истинного значения mx подставляют его оценку

, вычисленную по формуле (12.10).

Оценки дисперсии обладают необходимыми свойствами, т. е. они несмещенные, состоятельные и эффективные. Что касается оценок стандартного отклонения, то они являются отрицательно смещенными. Однако абсолютная величина смещения быстро уменьшается при увеличении числа испытаний (объема выборки) и уже при n = 10 не превышает % от sx. Оценка стандартного отклонения вида (12.15) является состоятельной и асимптотически эффективной оценкой.

При большом объеме выборки n (например, при большом числе «прогонов» модели на ЭВМ) желательно так организовать процесс обработки результатов моделирования, чтобы оценки для искомых характеристик формировались постепенно по ходу моделирования, т. е. без специального запоминания всей информации. Так, например, для получения оценки вероятности наступления события при обработке результатов моделирования достаточно накапливать в памяти ЭВМ лишь число «ус-

410