Материал: baldin_kv_red_matematika_dlia_gumanitariev

Внимание! Если размещение файла нарушает Ваши авторские права, то обязательно сообщите нам

(10. 9)

Проделав несложные преобразования в показателе степени, получим

(10.40)

Анализ формулы (10.40) показывает, что случайная величина Y распределена нормально с математическим ожиданием my = amx + b и стандартным отклонением sy = |a|sx. Здесь получено подтверждение общего правила: линейное преобразование случайной величины не изменяет вида закона ее распределения.

Распределениеполярныхкоординат

На практике часто осуществляется переход от прямоугольных к полярным координатам. Предположим, что известна плотность распределения прямоугольных координат f (x, y) и требуется определить плотность распределения системы полярных координат r, , если

X = Rcos ; Y = Rsin .

(10.41)

Как известно, якобиан преобразования (10.41) равен I = r. Тогда на основании общей формулы запишем

f (r, ) = rf (x, y) = rf (rcos , rsin ).

(10.42)

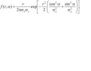
В частном случае, если {X, Y} нормально распределенные величины с плотностью распределения

плотность распределения полярных координат имеет вид

61

(10.4 )

Рассмотрим теперь распределение случайной величины R при условии, что sx = sy = s, т. е. для нормального кругового распределения.

Применяя правило определения частного распределения при известной плотности совместного распределения, имеем

или

(10.44)

Получили плотность распределения Релея. Это распределение радиус-вектора, составляющие которого суть независимые нормально распределенные случайные величины с равными стандартными отклонениями.

10.5.распределениенеоднозначногопреобразования случайныхвеличин

Предположим, функция Y = c(X) такова, что обратная ей функция X = c(Y) неоднозначна, т. е. одному значению величины y соответствует несколько значений аргумента x (рис. 10. 2), которые обозначим x1 = c1(y); x2 = c2(y) и т. д. В данном случае функция будет немонотонная.

Событие y < Y < y + dy будет иметь место при наступлении хотя бы одного из нескольких несовместных событий:

x1 < X < x1 + dx1; x2 < X < x2 + dx2;…

(10.45)

Применяя теорему сложения вероятностей несовместных событий, получаем

P(y < Y < y + dy) = P(x1 < X < x1 + dx1) + + P(x2 < X < x2 + dx2) + …

62

 

 

 

y

 

 

 

 

 

y

 

 

x1

x2

x 0

x4

x5

x

Рис. 10.2. График функции y = c(x)

 

или

f (y)dy = f (x1)dx1 + f (x2)dx2

Из последнего равенства получаем искомую формулу для плотности распределения f (y) неоднозначного преобразования случайной величины:

(10.46)

Формулу (10.46) можно распространить и на многомерный случай [6, 1 ].

В качестве примера рассмотрим квадратичное преобразование случайной величины X:

Y = X2.

Каждому значению y, которое всегда положительно, отвечают два значения x:

Применяя формулу (10.46), получим

6

или

Пусть, например, случайная величина X распределена по нормальному закону с математическим ожиданием mx = 0 и стандартным отклонением sx. После квадратичного преобразования плотность распределения будет иметь вид:

Следовательно, результат квадратичного преобразования нормально распределенной случайной величины имеет распределение, отличное от нормального.

10.6.распределениефункциидвухслучайныхвеличин

Рассмотрим частный случай преобразования системы двух случайных величин, имеющий большое значение для практики, а именно функцию двух случайных аргументов

Z = w(X, Y).

Необходимо по известному распределению системы случайных величин {X, Y} определить распределение функции Z.

Чтобы воспользоваться полученным в п. 10.5 правилом для решения этой задачи, применим следующий прием. Введем в рассмотрение случайную величину Z1, равную X. Для общности рассуждений можно записать

Z1 = w1(X, Y).

(10.47)

При таком подходе систему случайных величин {Z1, Z2} можно рассматривать как результат функционального преобразования системы {X, Y}:

64

Z = w(X, Y);

 

Z1 = w1(X, Y).

(10.48)

Предположим, что соответствующие обратные функции X = c1(Z1); Y = c2(Z, X) однозначны. К этому случаю применим полученное выше правило определения плотности распределения функционального однозначного преобразования.

Вычислим якобиан преобразования (10.48):

(10.49)

Применяя формулу (10. 5), получим

(10.50)

Теперь, используя правило определения частного распределения, найдем решение поставленной задачи:

или

(10.51)

так как dz1 = dx.

Из формулы (10.51) как частные случаи получаются формулы для определения плотности распределения суммы, разности, произведения и частного от деления двух случайных величин. Ограничимся рассмотрением наиболее важного для практики случая определения плотности распределения суммы двух случайных величин.

Предположим Z = X + Y. Тогда Z = X 2 Y, и

(10.52)

Если случайные величины независимы, то

65