Материал: baldin_kv_red_matematika_dlia_gumanitariev

Внимание! Если размещение файла нарушает Ваши авторские права, то обязательно сообщите нам

в виду, что аналитическое решение такой задачи часто оказывается слишком сложным. Поэтому для нахождения числовых характеристик нелинейных функций случайных аргументов широко используется метод статистического моделирования.

Основой метода является имитация серии испытаний, в каждом из которых путем моделирования получается определенная совокупность x1i, x2i, …, xni значений случайных аргументов X1, X2, …, Xn из множества, отвечающего их совместному распределению. Полученные значения с помощью заданного соотношения (10.24) преобразуются в соответствующие значения zi исследуемой функции Z. По результатам z1, z2, …, zi, …, zk всех k таких испытаний искомые числовые характеристики вычисляются методами математической статистики.

Пример 10.2. Определить на основе метода линеаризации математическое ожидание и стандартное отклонение случайной величины

Z = cos X,

если mx = p/ , s = p/ 14 1022.

Решение

1. По формуле (10.20) получаем

mz = cos(mx) = cos(p/ ) = 0,5.

2. Используя таблицу производных элементарных функций, находим

и вычисляем значение этой производной в точке x = mx = p/ :

. По формуле (10.2 ) получаем

56

Пример 10.3. Определить на основе метода линеаризации математическое ожидание и стандартное отклонение случайной величины

если

Решение

1.По формуле (10.25) получаем

2.Запишем формулу (10.27) для функции двух случайных аргументов

. Находим частные производные от функции Z по аргументам X1 и X2:

ивычисляем их значения в точке :

4.Подставив полученные данные в формулу для расчета

дисперсии случайной величины Z, получим Dz = 1. Следовательно и sz = 1.

57

10.4.распределениеоднозначногопреобразования случайныхвеличин

Ранее были изложены правила определения числовых характеристик функций случайных величин. На практике часто приходится решать задачи по определению закона распределения функции по известным законам распределения случайных аргументов. В дальнейшем будем рассматривать только непрерывные функции непрерывных случайных величин [12].

Предположим, что система случайных величин {Y1, Y2} получена в результате функционального преобразования, проведенного над системой случайных величин {X1, X2}:

Y1 = w1(X1, X2);

 

Y2 = w2(X1, X2);

(10.29)

и пусть это преобразование будет взаимно однозначным, т. е. каждой паре возможных значений (y1, y2) соответствует только одна совокупность значений (x1, x2) и наоборот.

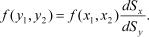
Известна плотность распределения случайных аргументов f (x1, x2) и требуется определить плотность распределения

функции f (y1, y2).

Систему случайных величин можно рассматривать как случайную точку, координаты которой являются случайными величинами, входящими в систему. Рассмотрим элементарную область dSx для системы координат x10x2 и отвечающую ей элементарную область dSy для системы y10y2 (рис. 10.1).

Каждой точке элементарной области dSy отвечает только одна вполне определенная точка области dSx. Поэтому вероятность попадания случайной точки в область dSy равна вероятности попадания в область dSx:

f (y1, y2)dSy = f (x1, x2)dSx.

(10. 0)

Отсюда искомая плотность распределения запишется в виде

(10. 1)

58

 

x2

y2

dSy

x2

dS

y2

x

 

 

 

 

 

 

 

1

 

 

 

 

1

0

x1 x

0

y1

y

Рис. 10.1. Взаимно однозначное соответствие систем случайных величин

Известно, что отношение элементарных областей dSx и dSy при переходе от переменных x1, x2 к переменным y1, y2 равно якобиану преобразования:

(10. 2)

Такимобразом,плотностьраспределенияприоднозначном функциональном преобразовании системы двух случайных величин определяют из выражения

f (y1, y2) = |I|f (x1, x2).

(10. )

Здесь берется модуль якобиана преобразования, так как

f (y1, y2) $ 0 и f (x1, x2) $ 0.

Полученныйрезультатможетбытьраспространенинаслучай функционального преобразования системы произвольного числа случайных величин. В общем случае, если известен якобиан преобразования при переходе от координат (x1, x2, …, xn) к координатам (y1, y2, …, yn)

59

(10. 4)

и если это преобразование взаимно однозначно, плотность распределения системы случайных величин {Y1, Y2, …, Yn} определяется по формуле

f (y1, y2, …, yn) = | I | f (y1, y2, …, yn),

(10. 5)

где I определяется выражением (10. 4).

Рассмотрим некоторые частные случаи однозначного преобразования случайных величин.

Распределениемонотоннойфункцииоднойслучайнойвеличины

Пусть Y = w(X) является монотонной функцией. Значит, между величинами X и Y имеется взаимное и однозначное соответствие. Тогда исходя из формулы (10. 5) получим

f (y) = |I|f (x).

(10. 6)

Но якобиан преобразования будет равен I = dx/dy. Тогда

(10. 7)

Распределениелинейнойфункцииоднойслучайнойвеличины

Предположим, что Y = aX + b. Обратная функция относительно Y запишется в виде X = (Y 2 b)/a.

Рассматриваемая функция является монотонной. Поэтому, используя выражение (10. 7) и найдя dx/dy = 1/a, получим

(10. 8)

Если, например, случайная величина X распределена по нормальному закону, то в соответствии с (10. 8) найдем

60