Материал: baldin_kv_red_matematika_dlia_gumanitariev

Внимание! Если размещение файла нарушает Ваши авторские права, то обязательно сообщите нам

f (x, y) = f (x) f (y),

(9.98)

если непрерывны.

Применительнокнезависимымслучайнымвеличинамдискретного и непрерывного типа справедливо также равенство

F(x, y) = F(x) F(y),

(9.99)

Равенства (9.97), (9.98) и (9.99) являются формальными признаками независимости случайных величин.

9.7.числовыехарактеристикивекторныхслучайныхвеличин

Основными числовыми характеристиками двумерного случайного вектора {X, Y} являются математические ожидания mx, my и дисперсии Dx, Dy (стандартные отклонения sx, sy) его компонент. При этом точка с координатами (mx, my) на плоскости x0y определяет центр рассеивания случайной точки {X, Y}, а дисперсии Dx, Dy характеризуют степень ее рассеивания в направлении осей 0x и 0y. Однако они не отражают взаимного влияния случайных величин при их совместном рассмотрении, что вызывает необходимость введения дополнительных числовых характеристик.

Моментыраспределенияслучайноговектора

Числовые характеристики случайного вектора вводятся через понятия начальных и центральных моментов.

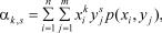
Начальным моментом (k + s)-го порядка системы {X, Y} называется математическое ожидание произведения k-й степени случайной величины X на s-ю степень случайной ве-

личины Y [1, 4, 12, 1 ]:

 

k,s

= M[Xk·Ys].

(9.100)

 

 

 

В развернутом виде выражение для начального момента (k + s)-го порядка случайного вектора {X, Y} записывается:

для дискретного случайного вектора

(9.101)

6

для непрерывного случайного вектора

(9.102)

На практике наиболее употребительными начальными моментами являются моменты первого порядка

(9.10 )

Таким образом, начальные моменты первого порядка являются математическими ожиданиями входящих в систему случайных величин.

Центральным моментом (k + s)-го порядка случайного вектора {X, Y} называется математическое ожидание произведения k-й и s-й степеней соответствующих центрированных случайных величин

 

k,s

= M[(X 2 m

)k (Y 2 m

)s].

(9.104)

 

x

y

 

 

В развернутом виде формулы для центральных моментов (k + s)-го порядка запишутся в виде:

для системы дискретных случайных величин

(9.105)

для системы непрерывных случайных величин

(9.106)

На практике наибольшее применение имеют центральные моменты второго порядка

(9.107)

Таким образом, рассмотренные центральные моменты второго порядка являются дисперсиями случайных величин, входящих в систему, и характеризуют индивидуальные рассеивания этих величин относительно центра распределения.

7

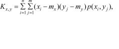
Кроме того, к числу основных числовых характеристик двумерногослучайноговектораотноситсяещеодинсмешанный центральный момент второго порядка, называемый моментом связи Kx,y (его называют также корреляционным моментом или ковариацией) [1, 5, 6, 9], который определяется следующим образом

 

1,1

= K

x,y

= M[(X 2 m

)1 (Y 2 m

)1],

(9.108)

 

 

x

y

 

 

и может быть либо положительным, либо отрицательным. Вычисляется момент связи с использованием выражения

(9.109)

если случайные величины X и Y дискретны, или выражения

(9.110)

если они непрерывны.

Момент связи является характеристикой частного случая стохастической зависимости — так называемой корреляционной зависимости или корреляции. Она проявляется в том, что при изменении одной случайной величины математическое ожидание другой изменяется по линейному закону в ту же сторону (если Kx,y > 0) или в противоположную (если Kx,y < 0). Иначе говоря, например, с возрастанием одной случайной величины другая в среднем при Kx,y > 0 тоже возрастает (линейно) — имеет место положительная корреляция, а при Kx,y < 0 уменьшается (опять-таки линейно) — имеет место отрицательная корреляция.

Случайные величины X и Y оказываются коррелированными, если они имеют общую случайную составляющую. Например,

X = Z + U,

Y = Z + V.

Случайная величина Z, изменяясь в какую-либо сторону, будет изменять в ту же сторону случайные величины X и Y. Од-

8

нако, связь между ними проявится не как функциональная, так как на ней отражаются еще и рассеивания слагаемых U и V. В результате этого при увеличении (уменьшении) одной из случайных величин X или Y другая будет увеличиваться (уменьшаться) лишь в среднем.

Чем в большей степени рассеивается общая составляющая Z по сравнению с составляющими U и V, тем теснее корреляционная связь между случайными величинами X и Y, и, наоборот, при отсутствии рассеивания Z эти случайные величины становятся чисто независимыми.

Если компоненты X и Y случайного вектора {X, Y} независимы, то они оказываются и некоррелированными. Обратное утверждение не всегда верно, поскольку некоррелированные случайные величины могут быть зависимыми. Это обусловлено тем, что распределение случайной величины является более полной ее вероятностной характеристикой, чем математическое ожидание. Такая особенность присуща, например, компонентам X и Y случайного вектора, рассмотренного в примерах 9.4 и 9.5. Как было показано, они стохастически независимы, но математические ожидания, соответствующие любому условному распределению каждой из них (см. рис. 9. 7), равны нулю, т. е. не зависят от того, какие значения принимает другая, так что корреляция между X и Y отсутствует. И момент связи Kx,y в условиях этих примеров оказывается равным нулю.

Наряду с моментом связи в качестве характеристики степени корреляции между случайными величинами используется коэффициент корреляции rx,y, который определяется соотношением

(9.111)

Эта характеристика обладает большей наглядностью относительно степени корреляции, чем момент связи, поскольку |rx,y| # 1. Если случайные величины X и Y некоррелированы, то rx,y = 0, а если они связаны линейной функциональной зависимостью, то |rx,y| = 1 (знак rx,y одинаков со знаком Kx,y).

9

Следует отметить, что некоррелированными могут быть случайные величины, связанные друг с другом даже функциональной, но нелинейной зависимостью.

Числовые характеристики многомерного случайного вектора {X1, X2, …, Xn} задают совокупность математических ожи-

даний матрицей , элементами которой являются моменты связи всех возможных пар xixj его компонент. При этом, поскольку из определения момента связи (9.108) следует, что

Kx,y = Ky,x; Kx,x = Dx; Ky,y = Dy,

такую матрицу представляют в виде:

иназывают корреляционной матрицей.

9.8.нормальноераспределениедвумерного случайноговектора

Нормальное распределение двумерного случайного вектора {X, Y} с некоррелированными компонентами X и Y определяются плотностью

Следовательно

f (x, y) = f (x) f (y).

40