дящие в систему случайные величины приняли определенные значения, называют условным распределением.
Условные распределения могут быть получены, если распределение случайного вектора (системы случайных величин) известно.
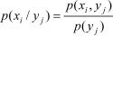
Если компоненты вектора {X, Y} являются дискретными случайными величинами, то их условные распределения описываются вероятностями
P(xi/yj) = P(X = xi/Y = yj)
для всех i = 1, 2, …, n, при каждом j = 1, 2, …, m,
P(yj/xi) = P(Y = yj/X = xi)
для всех j = 1, 2, …, m, при каждом i = 1, 2, …, n.
Исходы испытания, заключающиеся в том, что X = xi и Y = yj, являются случайными событиями. Распределение случайного вектора {X, Y} задано вероятностями p(xiyj) = P(X = xi, Y = yj). Поэтому, используя правило умножения вероятностей, можно записать
(9.91)
для всех i = 1, 2, …, n при каждом j = 1, 2, …, m,
для всех j = 1, 2, …, m при каждом i = 1, 2, …, n,
где p(xi), p(yj) — вероятности, представляющие частные распределения компонент X и Y.
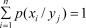
Из соотношений (9.91) следует, что сумма вероятностей, представляющих то или иное условное распределение дискретных компонент случайного вектора, равна единице
и 
Для случайного вектора {X, Y} с непрерывными компонентами условные распределения обычно задают соответствую-