Материал: baldin_kv_red_matematika_dlia_gumanitariev

Внимание! Если размещение файла нарушает Ваши авторские права, то обязательно сообщите нам

P(x # X < x + Dx, y # Y < y + Dy) =

 

= F(x + Dx, y + Dy) 2 F(x + Dx, y) 2

 

2 F(x, y + Dy) + F(x, y).

(9.79)

Отсюда следует, что вероятность совпадения случайной точки {X, Y} с любой точкой плоскости, как и вероятность ее попадания на любую линию этой плоскости, равна нулю.

Плотностью распределения двумерного случайного вектора {X, Y} называется функция f (x, y) аргументов, которая определяется следующим образом:

(9.80)

т. е. является пределом отношения вероятности попадания случайной точки {X, Y} в прямоугольник со сторонами Dx и Dy, примыкающий к точке (x, y), когда оба его размера стремятся к нулю (если такой предел существует).

С учетом соотношения (9.79) равенство (9.80) можно представить в виде

(9.81)

что обеспечивает возможность нахождения плотности f (x, y), если функция распределения F(x, y) задана.

Геометрически плотность распределения f (x, y) представляется поверхностью в трехмерном пространстве и используется применительно только к случайным векторам с непрерывными компонентами.

Плотность распределения двумерного случайного вектора имеет следующие основные свойства.

1. f (x, y) $ 0 как предел отношения неотрицательной величины к положительной.

2.

(9.82)

что непосредственно вытекает из соотношения (9.81).

. Вероятность попадания случайной точки {X, Y} в какуюлибо область G на плоскости x0y определяется равенством

26

(9.8 )

т. е. численно равна объему под поверхностью f (x, y) над этой областью (рис. 9. ).

f x, y

0

y

x

Рис. 9.33

Отсюда следует, что с точностью до бесконечно малых высших порядков вероятность попадания случайной точки {X, Y} в бесконечно малую окрестность точки (x, y) P(x # X < x + Dx, y # Y < y + Dy) на плоскости x0y определяется равенством

P(x # X < x + Dx, y # Y < y + Dy) = f (x, y)dxdy,

(9.84)

правую часть которого называют элементом вероятности.

4. как вероятность достоверного события,

так что весь объем под поверхностью плотности распределения равен единице.

Размерность плотности f (x, y) обратна произведению размерностей компонент X и Y случайного вектора, что полезно иметь в виду при решении практических задач, связанных с нахождением плотностей распределения.

Функцию и плотность распределения двумерного случайного вектора {X, Y} принято задавать на всей плоскости x0y.

27

9.6.частныеиусловныераспределениякомпонент случайноговектора

9.6.1.Частныераспределения

Распределение одной или нескольких компонент, входящих в случайный вектор (систему случайных величин), называют частным распределением.

Частные распределения случайных величин, составляющих систему, часто используются при решении практических задач. Например, если рассматривается система трех случайных величин {X, Y, Z}, то помимо частных распределений отдельных случайных величин рассматривают и частные распределения различных пар случайных величин {X, Y}, {X, Z}, {Y, Z}.

В дальнейшем рассмотрим частные распределения для системы двух случайных величин.

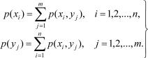
При известном распределении вектора {X, Y} частные распределения определяются следующим образом. Предположим компоненты X и Y — дискретные случайные величины, совместное распределение которых задано табл. 9. . Вероятности p(xi), p(yi) возможных значений компонент X и Y, которые представляют частные распределения каждой из них, определяются выражениями

(9.85)

Таким образом, вероятности возможных значений компоненты X получаются суммированием записанных в табл. 9. чисел по строкам, а вероятности возможных значений компоненты Y — суммированием этих чисел по строкам.

Если распределение случайного вектора {X, Y} задано функцией распределения, то с учетом свойства функции распределения частные функции распределения F(x) и F(y) следует определять из соотношений

28

(9.86)

Для вектора с непрерывными компонентами плотности f (x) и f (y) соответствующих частных распределений могут быть получены на основе равенства (9.11)

и

В случае если распределение случайного вектора {X, Y} задано плотностью f (x, y), то плотности f (x) и f (y) частных распределений его компонент могут быть получены из соотношений

(9.87)

Выражения (9.87) получены исходя из свойств плотности и функции распределения (равенства 9.81 и 9.82).

Из соотношений (9.87) следует, что геометрически плотность f (x) частного распределения компоненты X при каждом значении аргумента x представляется площадью вертикального сечения фигуры, ограниченной поверхностью f (x, y), причем секущая плоскость проходит через точку x перпендикулярно оси 0x (рис. 9. ). Аналогичную геометрическую интерпретацию дают и плотности f (y) частного распределения компоненты Y.

Пример 9.4. Мобильная точечная цель свободно маневрирует на участке местности, который представляется кругом радиуса R. Информация о фактическом положении цели отсутствует. Найти распределения ее прямоугольных координат относительно центра области маневрирования.

Решение

По условиям задачи положение цели в произвольный момент времени описывается двумерным случайным вектором,

29

компонентами которого являются ее текущие координаты X и Y в заданной системе координат. Плотность f (x, y) распределения этого случайного вектора может быть получена следующим образом. Поскольку информация о фактическом текущем положении цели отсутствует, то нахождение ее в окрестности любой точки круга радиуса R является равновозможным. Используя геометрический способ определения вероятности, получим

Согласно соотношению (9.80) распределение случайного вектора {X, Y} описывается плотностью

при x2 + y2 # R2,

(9.88)

 

при x2 + y2 > R2,

представленной на рис. 9. 4 (равномерное распределение в круге радиуса R с центром в начале координат).

Плотность f (x, y) отлична от нуля для любого значения x

при

(рис. 9. 5), а для любого значения y при

 

f(x, y)

 

y

 

 

 

R2

x2

 

 

 

 

 

 

 

R

 

R

 

 

 

1

 

 

 

 

R2

 

 

x

x

 

 

 

0

 

0

 

 

 

 

y

x

 

 

 

 

 

 

 

 

 

 

Рис. 9.34

 

Рис. 9.35

 

 

0