Материал: baldin_kv_red_matematika_dlia_gumanitariev

Внимание! Если размещение файла нарушает Ваши авторские права, то обязательно сообщите нам

9.случайныевеличины

9.1.случайныевеличиныиихклассификация

Случайной называется переменная величина, которая в результате испытания (реализации определенного комплекса условий) принимает одно из множества своих возможных значений, причем заранее неизвестно, какое именно [1, 4, 9].

Случайными величинами являются, например:

1.Число попаданий в цель при ограниченном числе боеприпасов.

2.Число выстрелов до первого попадания в цель при неограниченном расходе боеприпасов.

. Число дефектных изделий в партии готовой продукции.

4.Время безотказной работы элемента технической сис-

темы.

5.Отклонение точки падения снаряда от точки прицели-

вания.

По аналогии с обычными переменными различают скалярные и векторные случайные величины или системы случайных величин.

В приведенных выше примерах первые четыре случайные величины являются скалярными, а пятая двумерным вектором (системой двух случайных величин: отклонения по дальности и боковому направлению).

Скалярные случайные величины в дальнейшем будем обозначать прописными буквами X, Y, Z, а их возможные значения — соответствующими строчными буквами x, y, z(используя при необходимости цифровые индексы). Применительно к случайным векторам будем использовать обозначения {X, Y},

{X1, X2}, {X1, X2, …, Xn}.

По характеру множества возможных значений различают дискретные и непрерывные случайные величины. Дискретной называют случайную величину, множество возможных значений которой является конечным или бесконечным, но счетным, так что все они могут быть в каком-либо порядке пронумерова-

286

ны и представлены последовательностью, конечной — x1, x2, …, xn или бесконечной x1, x2, …, xn, … Иначе говоря, возможные значения дискретной случайной величины представляются точками: скалярной — на числовой оси, векторной — в соответствующем n-мерном пространстве (N $ 2). На практике наиболее часто встречаются дискретные случайные величины, принимающие только целочисленные значения. В приведенных выше примерах такими случайными величинами являются первые три.

Непрерывной называют случайную величину, множество возможных значений которой несчетно и сплошь заполняет какой-либо ограниченный или неограниченных интервал (область). В примерах, приведенных выше, непрерывными случайными величинами являются последние две.

Наряду с дискретными и непрерывными случайными величинами иногда встречаются случайные величины смешанного типа (они в дальнейшем нами рассматриваться не будут).

9.2.Законраспределенияслучайнойвеличиныиформыего представления

9.2.1.Понятиераспределенияслучайнойвеличины

Для того чтобы описать любую случайную величину, необходимо, очевидно, задать множество ее возможных значений. Однако одного этого оказывается недостаточно. Например, дискретная случайная величина X представляет число попаданий в мишень при трех выстрелах начинающего стрелка, а дискретная случайная величина Y — число попаданий тоже при трех выстрелах стрелка высокой квалификации. Нетрудно видеть, что обе эти случайные величины имеют одно и то же множество возможных значений:

x1 = y1 = 0, x2 = y2 = 1, x = y = 2, x4 = y4 = ,

но при многократном осуществлении испытаний (стрельб) одинаковые возможные значения будут появляться неодинаково

287

часто (например, возможное значение x1 = 0 будет иметь место значительно чаще, чем y1 = 0, а возможное значение x4 = значительно реже, чем y4 = ).

Следовательно, для полного описания случайной величины наряду с заданием множества ее возможных значений требуется еще указать, как часто то или иное из них будет иметь место, т. е. какова его вероятность.

Посколькуврезультатеиспытанияслучайнаявеличинапринимает обязательно одно и только одно из своих возможных значений, то сумма их вероятностей равна единице (как сумма вероятностей несовместных событий, составляющих полную группу).

Для непрерывной случайной величины указать вероятность каждого из ее возможных значений нельзя хотя бы потому, что множество этих значений бесконечно и несчетно. Кроме того, как будет показано далее, вероятность любого отдельного значения непрерывной случайной величины равна нулю. Поэтому непрерывная случайная величина будет полностью охарактеризована в вероятностном смысле, если указать вероятность ее попадания в любой интервал возможных значений.

Под законом распределения случайной величины понимают соотношение, устанавливающее связь между возможными значениями или интервалами возможных значений случайной величины и соответствующими им вероятностями.

Закон распределения случайной величины является ее исчерпывающей вероятностной характеристикой и может быть представлен в таких формах, как функция вероятности, фун-

кция распределения и плотность распределения (плотность вероятности).

9.2.2.Функциявероятности

Функция вероятности (ранее часто использовался термин ряд распределения [4, 5, 6]) используется для описания распределений только дискретных случайных величин. Она задает однозначное отображение множества возможных значений xi случайной величины на множество их вероятностей p(xi).

288

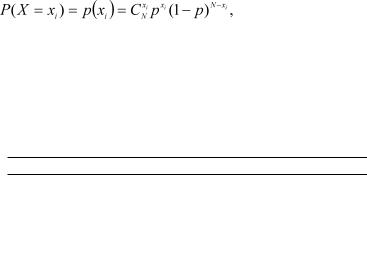
В такой форме закон распределения представляется либо аналитической формулой, позволяющей вычислить вероятность каждого возможного значения величины, либо таблицей, в которой указываются все ее возможные значения и соответствующие им вероятности. Так, например, если случайная величина X является числом попаданий в цель при N независимых выстрелах с одинаковой вероятностью попадания p, то вероятности p(xi) всех ее возможных значений xi = 0, 1, …, N определяются формулой Бернулли, т. е.

(9.1)

которая, таким образом, непосредственно представляет распределение этой случайной величины.

Результаты расчетов по формуле (9.1) можно свести в табл. 9.1.

 

 

 

 

 

Таблица 9.1

 

 

 

 

 

 

 

xi

0

1

2

N

 

p(xi)

p(0)

p(1)

p(2)

 

p(N)

 

Подчеркнем, что сумма всех вероятностей p(xi) в такой таблице равна единице, т. е.

Функцию вероятности иногда называют рядом распределения.

9.2.3.Функцияраспределения

Функцией распределения скалярной случайной величины X называется функция F(x) аргумента x, которая при каждом x задает вероятность того, что данная случайная величина примет значение, меньшее x, т. е.

F(x) = P(X < x)

(9.2)

289

(при этом аргумент x не обязательно должен совпадать с возможными значениями случайной величины).

Функция распределения является универсальной формой, позволяющей представлять распределения случайных величин любого типа.

Для уяснения смысла функции распределения рассмотрим следующий пример.

Пример 9.1. Построить график функции распределения дискретной случайной величины X, распределение которой задано табл. 9.2.

Таблица 9.2

xi

0

1

2

 

p(xi)

0,125

0, 75

0, 75

0,125

Заметим, что такое распределение имеет число попаданий в цель после трех независимых выстрелов с вероятностью попадания p = 0,5 при каждом из них.

Решение

1. При x = 0 в соответствии с равенством (9.2) имеем

F(0) = P(X < 0) = 0,

поскольку рассматриваемая случайная величина X не имеет возможных значений меньше нуля.

Очевидно, что по той же причине F(x) = 0 для x < 0. 2. При x = 1 согласно равенству (9.2)

F(1) = P(X < 1).

Из табл. 9.2 следует, что неравенство X < 1 выполняется в единственном случае — когда рассматриваемая случайная величина принимает возможное значение x1 = 0. Следовательно,

F(1) = P(X < 1) = p(x1) = 0,125.

(9. )

Нетрудно видеть, что, поскольку на интервале 0 < x # 1 эта случайнаявеличинавозможныхзначенийнеимеет,F(x) = 0,125 для всех 0 < x # 1.

290