Пример 7.4.
,
т. е. данный ряд сходится и его сумма равна (е – 1).
При исследовании рядов одним из важнейших вопросов является вопрос о том, сходится изучаемый ряд или расходится. Далее рассмотрим достаточные признаки, на основании которых можно решить этот вопрос. Сейчас же приведем необходимый признак сходимости рядов, т. е. условие, при невыполнении которого ряды расходятся.
Теорема 7.1. Если ряд сходится, то его n-й член стремится к нулю при неограниченном возрастании n [2, 22].
Следствие. Если n-й член ряда не стремится к нулю при n → `, то ряд расходится. Данный признак не является достаточным, т. е. он может выполняться, а ряд будет расходиться. Например, гармонический ряд из примера 7.1 расходится, несмотря на то, что
.
Основныесвойствасходящихсячисловыхрядов[11]
1.Сходимость числового ряда не нарушится, если приписать или отбросить конечное число его членов.
2.Если члены сходящегося ряда умножить на одно и то же число k, то его сходимость не нарушится.
. Двасходящихсярядаu1 +u2 +…+un +…=S1;v1 +v2 + … + + vn + … = S2 можно почленно складывать (или вычитать), так
что ряд (u1 ± v1) + (u2 ± v2) + … + (un ± vn) + … будет сходится, а его сумма будет равна S1 ± S2.
Признакисходимостиположительныхчисловыхрядовописаны влитературе[2,11,22]
Если все члены рядов |
|
u1 + u2 + … + un + … |
(7.2) |
v1 + v2 + … + vn + … |
(7. ) |
неотрицательны и un # vn, n = 1, 2, , …, то из сходимости ряда (7. ) следует сходимость ряда (7.2). Из расходимости ряда (7.2) следует расходимость ряда (7. ).
241
Если все члены рядов (7.2) и (7. ) положительны и существует
0 < C < +`, то эти ряды сходятся или расходят-
ся одновременно.
Пример 7.5.
Ряд
расходится, так как гармонический
ряд
расходится и 
Пример 7.6.
Ряд
расходится, так как его члены
(начиная со второго) больше соответствующих членов гармонического ряда
, который расходится.
ПризнакКоши
Если все члены ряда w1 + w2 + … + wn + … неотрицательны и существует
, то при b < 1 этот ряд сходится, а при b > 1 расходится (при b = 1 данный признак не дает возможнос-
ти судить о поведении ряда).
Пример 7.7.
Исследуем сходимость ряда
Применяем к данному ряду признак Коши
и видим, что он сходится.
ПризнакДаламбера
Если все члены ряда w1 + w2 + … + wn + … положительны и существует
, то при l < 1 этот ряд сходится, а при l > 1
242
этот ряд расходится (при l = 1 данный признак не дает возможности судить о поведении ряда).
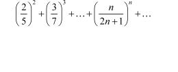
Пример 7.8. Исследуем сходимость ряда
Применяем к данному ряду признак Даламбера
и видим, что он сходится.
ИнтегральныйпризнаксходимостиКоши
Если Wn = f (n), n = 1, 2, , …, где f (n) — значение при x = n некоторой функции f (x), непрерывной, положительной и не возрастающей при x $ 1 , то ряд w1 + w2 + … + wn + … сходится или расходится в зависимости от того, существует или нет конечный
.
Пример 7.9.
Исследуем сходимость ряда
Применяем к данному ряду интегральный признак сходи-
мости Коши, положив |
: |
|
|
|
, |
т. е. ряд сходится. |
|
|
Абсолютнаяиусловнаясходимостьрядов |
|
|
Числовой ряд |
|
|
w1 + w2 + … + wn + … |
(7.4) |
|
24
называется абсолютно сходящимся, если сходится ряд, составленный из абсолютных величин его членов:
|w1| + |w2| + … + |wn| + … |
(7.5) |
Абсолютно сходящийся ряд всегда сходится. Если ряд (7.4) сходится, а ряд (7.5) расходится, то говорят, что ряд (7.4) сходится условно [11, 22].
Теперь приведем теорему Лейбница, которая применяется длязнакочередующихсярядов;т.е.рядовукоторыхположительные и отрицательные члены следуют друг за другом поочередно.
Теорема 7.2. Ряд
w1 - w2 + w - w4 + … + (-1)n-1wn + …,
где все wn > 0, сходится, если все его члены таковы, что w1 > w2 > > w > … > wn > … и
, а его сумма положительна и не
превосходит первого члена [2, 11, 22].
свойстваабсолютноиусловносходящихсярядов
1.Если ряд сходится абсолютно, то новый ряд, полученный из него перестановкой членов, также сходится и имеет ту же сумму, что и исходный ряд.
2.Если ряд сходится условно, то какое бы число S ни взять, можно так переставить члены в этом ряде, чтобы сумма преобразованного ряда была равна именно S.
. Если ряд сходится условно, то можно так переставить члены в этом ряде, что новый ряд будет расходиться.
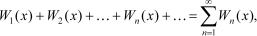
7.2.Функциональныеряды
Выражение вида
(7.6)
где W1(x), W2(x), …, Wn(x), … — некоторые функции, определенные на одном и том же множестве D, называется функциональным рядом [2, 11].
Множество E # D всех значений x, при которых функциональный ряд (7.6) сходится (как числовой ряд), называется об-
244
ластью сходимости этого ряда. Функция S(x), x [ E является суммой ряда (7.6), если
,
где Sn(x) = W1(x) + W2(x) + … + Wn(x).
Если функция S(x), x [ P(P # E) является суммой ряда (7.6), то говорят, что этот ряд сходится на множестве Р к функции S(x).
Функциональный ряд называется равномерно сходящимся на множестве P к функции S(x), если для ; числа > 0 существует такой номер N, что при n $ N сразу для всех x [ P выполняется неравенство [11]
|S(x) - Sn(x)| < .
Если функциональный ряд сходится на множестве P, то на этом множестве сходимость не обязана быть равномерной, но на некотором подмножестве множества P сходимость может оказаться равномерной.
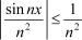
Приведем признак равномерной сходимости Вейерштрасса. Если члены функционального ряда
W1(x) + W2(x) + … + Wn(x) + …
удовлетворяют на множестве P неравенствам
|Wn(x)| # Wn (n = 1, 2, , …),
где Wn — члены сходящегося числового ряда
W1 + W2 + … + Wn + …,
то функциональный ряд сходится на множестве P равномерно [11].
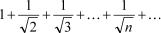
Пример 7.10.
Ряд
сходится на P = (-`; +`)
равномерно, так как всегда
и ряд
сходится.
Если функции Wn(x) непрерывны на [a, b], а составленный из них ряд W1(x) + W2(x) + … + Wn(x) + … сходится равномерно на этом отрезке к функции S(x), то:
245