Материал: baldin_kv_red_matematika_dlia_gumanitariev

Внимание! Если размещение файла нарушает Ваши авторские права, то обязательно сообщите нам

Так как ноль не является корнем характеристического уравнения k2 + k − 4 = 0, то частное решение заданного дифференциального уравнения ищем в виде y2 = Ax + B, где А и В — постоянные, которые нужно найти. Находим y2 = A; y2 = 0 и подставляем в исходное дифференциальное уравнение. Тогда получаем:

A − 4Ax 4B = 4 + x;

Поэтому частным решением заданного дифференциального уравнения будет функция

А его общим решением — функция

2. Предположим, что правая часть дифференциального уравнения (6.25) имеет вид

f (x) = acos nx + bsin nx.

(6.27)

Если числа ±in не являются корнями характеристического уравнения, то дифференциальное уравнение (6.25) имеет частное решение вида

y = A cos nx + B sin nx.

Если числа ±in есть корни характеристического уравнения, то частное решение (6.25) имеет вид

y = х(A cos nx + B sin nx).

В тех случаях, когда или а=0, или b=0 решение нужно искать в указанном виде.

Пример 6.12. В качестве примера найдем общее решение дифференциального уравнения y″ + 4y′ + 1 y = cos 2x.

226

Сначала находим общее решение соответствующего однородного дифференциального уравнения y″+4y′+1 y =0.

Его характеристическое уравнение имеет вид: (k2 + 4k + 1 ) = 0;

D = − 6;

k1 = −2 + i; k2 = −2 − i.

А его общее решение таково

y1 = e−2x(C1cos x + C2sin x).

Теперь находим частное решение исходного дифференциального уравнения. Его правая часть имеет вид (6.27), причем a = ; b = 0; n = 2. Числа ±2i не являются корнями характеристического уравнения, поэтому частное решение заданного неоднородного дифференциального уравнения ищем в виде y2 = = Acos 2x + Bsin 2x, где А и В — неизвестные коэффициенты, которые надо найти.

Дважды дифференцируем у2 и результаты подставляем в исходное дифференциальное уравнение. Тогда получаем:

y2 = −2Asin 2x + 2Bcos 2x; y2 = −4Acos 2x + 4Bsin 2x;

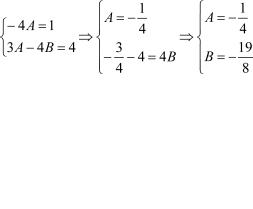
−4Acos 2x − 4Bsin 2x + 4(−2Asin 2x + 2Bcos 2x) + + 1 Acos 2x + 1 Bsin 2x = cos 2x;

−4Acos 2x − 4Bsin 2x − 8Asin 2x + 8Bcos 2x + + 1 Acos 2x + 1 Bsin 2x = cos 2x.

Теперь приравниваем друг к другу одноименные коэффициенты при sin2x и cos2x и получаем:

И частное решение исходного дифференциального уравнения будет следующим:

227

Поэтому общее решение заданного дифференциального уравнения будет следующим:

Теперь приведем метод лагранжа (способ вариации произвольных постоянных), который позволяет находить общее решение дифференциального уравнения

y″ + ay′ + by = f (x),

где f (x) — любая функция [2].

Чтобы применить описываемый метод, надо знать общее решение соответствующего однородного дифференциального уравнения

y″ + ay′ + by = 0,

(6.28)

где а и b могут быть как числами, так и некоторыми функциями от х. Будем считать, что а и b — числа.

Предположим, что дифференциальное уравнение (6.28), соответствующее дифференциальному уравнению (6.25), имеет общее решение:

y = C1y1 + C2y2,

где С1 и С2 — произвольные постоянные.

Будем искать общее решение дифференциального уравнения (6.25) в виде

y = k1(x)y1 + k2(x)y2.

(6.29)

Здесь k1(x) и k2(x) — неизвестные функции, которые надо определить, а у1 и у2 — известные частные решения дифференциального уравнения (6.28).

Продифференцируем (6.29) и получим:

y′ = k1(x)y1 + k1(x)y1 + k2(x)y2 + k2(x)y2.

Так как надо найти две функции k1(x) и k2(x), то одним из соотношений между ними можно распорядиться произвольно.

Поэтому положим

k1(x)y1 + k2(x)y2 = 0.

(6. 0)

228

Тогда y′ = k1(x)y1 + k2(x)y2.

Последнее выражение продифференцируем второй раз и получим:

y″ = k1(x)y1 + k1(x)y1 + k2(x) y2 + k2(x)y2.

Теперь подставим в левую часть дифференциального уравнения (6.25) y, y′, y″ и получим:

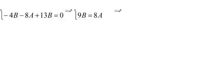
k1(x)y1 + k1(x)y1 + k2(x)y2 + k2(x)y2 +ak1(x) y1 + ak2(x)y2 +

+bk1(x)y1 + bk2(x)y2 = k1(x)y1 + k2(x)y2 + k1(x)(y1 +

+ay1 + by1) + k2(x)(y2 + ay2 + by2) = f (x);

y1 + ay1 + by1 = 0; y2 + ay2 + by2 = 0.

так как у1 и у2 есть частные решения дифференциального урав-

нения (6.28).

Поэтому для того, чтобы функция (6.29) была общим решением (6.25) необходимо выполнения двух условий.

(6. 1)

Для того чтобы система (6. 1) имела решения необходимо, чтобы ее определитель не был равен нулю, т. е.

Поэтому из системы (6. 1) сначала находим k1(x) и k2(x), а затем интегрированием определяем сами функции k1(x) и k2(x). Если при интегрировании k1(x) и k2(x) ввести произвольные постоянные, то сразу получим общее решение дифференциального уравнения (6.25).

Рассмотрим конкретный пример.

Пример 6.13.

Исходному дифференциальному уравнению соответствует однородное дифференциальное уравнение y″+2y =0, характеристическое уравнение которого имеет вид

229

Поэтому запишем общее решение исходного дифференциального уравнения в виде

, здесь k1 и k2 — функции от x.

А затем составим систему уравнений для нахождения k1

и k2

Решаем систему и получаем

Интегрируем k1, k2 и находим

здесь С1 — произвольная постоянная.

2 0