Материал: baldin_kv_red_matematika_dlia_gumanitariev

Внимание! Если размещение файла нарушает Ваши авторские права, то обязательно сообщите нам

Приведем без доказательства теоремы, помогающие находить общее решение дифференциального уравнения вида (6.19).

Теорема 6.1. Если функция y = y1 — это решение дифференциального уравнения (6.19), то и функция y = Сy1 (С = const) также решение дифференциального уравнения (6.19).

Теорема 6.2. Если функции y = y1 и y = y2 есть решения дифференциального уравнения (6.19), то и функция y = y1 + у2 также решение дифференциального уравнения (6.19).

При этом у1 и у2 называются частными решениями (6.19). Два частных решения дифференциального уравнения

(6.19) называют линейно независимыми, если одно из них не может быть представлено как другое, умноженное на некоторый постоянный коэффициент С, т. е. y2 Сy1.

Теорема 6.3. Если у1 и у2 — линейно независимые частные решения уравнения (6.19), то его общее решение имеет вид

y = С1y1 + С2у2,

(6.20)

где С1 и С2 — постоянные.

Для того чтобы найти общее решение уравнения (6.19), имеющее вид (6.20), надо найти два линейно независимых частных решения у1 и у2.

Л. Эйлер предложил искать частное решение уравнения (6.19) вида y = ekx, где k = const и k необходимо подобрать [2, 22].

Чтобы найти значение k, при котором y =ekx будет решением дифференциального уравнения (6.19), подставим y = ekx и ее производные первого и второго порядка в это дифференциальное уравнение. Получим

y′ = kekx; y″ = k2ekx, k2ekx + akekx + bekx = 0. ekx(k2 + ak + b) = 0,

ekx ≠ 0 для x,

 

значит

 

k2 + ak + b = 0.

(6.21)

Уравнение (6.21) называется характеристическим уравнением для дифференциального уравнения (6.19). Решая его, можно найти неизвестные постоянные k1 и k2.

221

При решении уравнения (6.21) возможны три случая:

1. D > 0, k1 k2, общее решение уравнения (6.19) имеет вид:

(6.22)

2. D = 0, k1 = k2 = k. В этом случае y1 = ekx и можно доказать (см., например, [2, 22]), что y2 =xekx, а общее решение уравнения (6.19) имеет вид:

(6.2 ). D < 0, k1 и k2 — комплексно-сопряженные корни вида

k1 = c + ip; k2 = c ip,

где .

Частные решения дифференциального уравнения (6.19) в этом случае имеют вид:

y1 = e(c+ip)x; y2 = e(cip)x.

Как правило, чтобы не иметь мнимых величин в показателе степени, эти решения преобразуют, используя формулы Л. Эйлера.

eix = cos x + isin x; eix = cos x isin x.

Для рассматриваемого случая получаем:

y1 = e(c+ip)x = ecxeipx = ecx(cos px + isin px); y2 = e(cip)x = ecxeipx = ecx(cos px isin px).

Поэтому общее решение дифференциального уравнения (6.19) имеет вид:

y = CIecx(cos px + isin px) + CIIecx(cos px isin px) =

= CIecx cos px + iCIecx sin px + CIIecx cos px iCIIecx sin px = = ecxcos px(CI + CII) + iecxsin px(CI CII).

Введем следующие обозначения:

С1 = СI + СII и C2 = i(CI CII)

и окончательно получим:

y = ecx(C

cos px + C

sin px).

(6.24)

1

2

 

 

Теперь рассмотрим конкретные примеры.

222

Пример 6.8.

Найдем частное решение дифференциального уравнения y″ − 2y′ − y = 0

при следующих начальных условиях Сначала будем искать общее решение исходного диффе-

ренциального уравнения.

k2ekx − 2kekx ekx = 0,

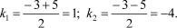
ekx(k2 − 2k − ) = 0, ekx ≠ 0; k2 − 2k − = 0, D = 4 − 4 (− ) = 16,

Поэтому общее решение исходного дифференциального уравнения имеет вид:

y = C1e x C2ex.

Теперь находим частное решение, соответствующее заданным начальным условиям. Вначале находим

y′ = C1e x + C2ex,

затем получаем систему уравнений для нахождения С1 и С2.

Поэтому частное решение имеет вид: y = 2e x + 6ex.

Пример 6.9.

Найдем общее решение дифференциального уравнения. y″ − 6y′ + 9y = 0.

Перепишем исходное дифференциальное уравнение в следующем виде:

k2ekx − 6kekx + 9ekx = 0,

ekx(k2 − 6k + 9) = 0,

ekx ≠ 0; (k2 − 6k + 9) = 0, D = 6 − 4 1 9 = 0,

22

Частными решениями данного уравнения являются:

y1 = ekx = e x и y2 = xekx = xe x.

Общее решение имеет вид:

y = C1e x + xC2e x = e x(C1 + C2x).

Пример 6.10.

Найдем общее решение дифференциального уравнения y″ − 4y′ + 1 y = 0.

k2ekx − 4kekx + 1 ekx = 0,

ekx(k2 − 4k + 1 ) = 0,

ekx ≠ 0; (k2 − 4k + 1 ) = 0, D = 16 − 4 1 1 = − 6,

k1 = 2 + i; k2 = 2 − i.

Поэтому общее решение исходного дифференциального уравнения имеет вид:

y = e2x(C1cos x + C2sin x).

6.3.3.Линейныедифференциальныеуравнениявторогопорядка

спостояннымикоэффициентамиисправойчастью

Общий вид таких дифференциальных уравнений следующий:

y″ + ay′ + by = f (x).

(6.25)

Общее решение такого дифференциального уравнения получается суммированием общего решения соответствующего однородного дифференциального уравнения с постоянными коэффициентами y″ + ay′ + by = 0 и какого-то частного решения дифференциального уравнения (6.25) [2, 22].

Так как нахождение общего решения дифференциального уравнения вида (6.19) мы рассмотрели раньше, то ос-

224

тается найти любое частное решение дифференциального уравнения (6.25).

Рассмотрим некоторые частные случаи, в которых решение можно найти методом неопределенных коэффициентов.

1. Предположим, что правая часть дифференциального уравнения (6.25) имеет вид

f (x) = P

(x)enx.

(6.26)

1

 

 

где P1(x) — многочлен.

Тогда дифференциальное уравнение (6.25) имеет частное решение вида у = хmP2(x)enx, где P2(x) — многочлен той же степени, что и P1(x), причем если число n не является корнем характеристического уравнения k2 + ak + b = 0, то m = 0, а если является, то m — кратность этого корня.

Взяв решение в указанной форме, находим неизвестные коэффициенты многочлена P2(x) по способу неопределенных коэффициентов. Правило сохраняется и в том случае, когда n = = 0, т. е. в правой части стоит только многочлен P1(x) (в этом случае надо проверить, не является ли ноль корнем характеристического уравнения, в частном случае многочлен P1(x) может быть нулевой степени, т. е. постоянной величиной).

Рассмотрим конкретный пример.

Пример 6.11.

Найдем общее решение дифференциального уравнения: y″ + y′ − 4y = 4 + x.

Сначала найдем общее решение соответствующего однородного уравнения y″ + y′ − 4y = 0.

Его характеристическое уравнение имеет вид:

k2 + k − 4 = 0

D = 9 − 4 1(−4) = 25

Значит общее решение однородного дифференциального уравнения будет равно y1 = C1ex + C2e−4x.

Праваячастьрассматриваемогодифференциальногоуравнения имеет вид P1(x)enx, причем n = 0, а P1(x) = 4 + х.

225