Теперь интегрируем обе части полученного выражения.
ln|y| = ln|x2 + 4| + lnC, ln|y| = ln|C(x2 + 4)|. y = C(x2 + 4).
Полученное уравнение и есть общее решение исходного дифференциального уравнения. Геометрически оно представляет собой семейство парабол.
По заданным начальным условиям найдем частое решение, т. е. выделим конкретную параболу из полученного семейства.
5 = С (12+4) => 5 = 5С => С = 1.
Поэтому частное решение имеет вид у = х2 + 4. Рассмотрим некоторые классы дифференциальных урав-
нений, которые сводятся к дифференциальным уравнениям с разделяющимися переменными.
6.2.3.Однородныедифференциальныеуравнения
Функция f (x, y) называется однородной функцией n-го измерения относительно аргументов х и у, если при любом k справедливо равенство [22]
f (kx, ky) = kn f (x, y).
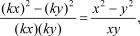
Например, функция f (x, y) = 2ху − у2 является однородной функцией второго измерения, так как
2(kx)(ky) − (ky)2 = k2(2xy − y2).
А функция
есть однородная функция нуле-
вого измерения, так как 
т. е. |
f (kx, ky) = f (x, y). |
211
Дифференциальное уравнение первого порядка
(6.1)
называется однородным относительно х и у, если функция f(x,y) является однородной функцией нулевого измерения относительно х и у.
По условию имеем f (kx, ky) = f(x, y), положим |
, тогда |
|
получим |
, т. е. однородная функция нулевого из- |
|
мерения зависит только от отношения аргументов. Тогда дифференциальное уравнение (6.1) примет вид
(6.2)
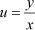
Сделаем замену переменных, обозначим
т. е. y = ux,
тогда
После подстановки дифференциальное уравнение (6.2) примет вид
(6. )
т. е. пришли к дифференциальному уравнению с разделяющимися переменными. Преобразуя (6. .), получим
(6.4)
Интегрируя обе части уравнения (6.4), получаем
(6.5)
Так как постоянная С может быть любой, можно записать уравнение (6.5) в виде
.
212
Интегрируя уравнение (6.5), получаем u, затем делаем обратную замену
и получаем искомое общее решение одно-
родного дифференциального уравнения. При наличии начальных условий можно найти и частное решение.
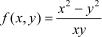
Пример 6.5. Найдем общее решение дифференциального уравнения
Обе части последнего равенства разделим на х, тогда получим
т. е. исходное дифференциальное уравнение является однородным.
Для его решения используем замену
После замены дифференциальное уравнение примет вид:
Интегрируем обе части последнего равенства
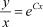
Делаем обратную замену
и получаем
или
у = хеСх — это и есть общее решение исходного дифференциального уравнения.
Предположим, что заданы начальные условия
. Тогда находим частное решение заданного дифференциального уравнения
21
т. е. частное решение имеет вид:
6.2.4.Линейныедифференциальныеуравненияпервогопорядка
К линейным дифференциальным уравнениям относятся дифференциальные уравнения вида:
y′ + p(x)y = q(x), |
(6.6) |
т. е. линейное относительно неизвестной функции и ее производной. В уравнении (6.6) p(x) и q(х) — известные функции аргумента х [2, 22].
Дифференциальное уравнение (6.6) сводится к двум дифференциальным уравнениям с разделяющимися переменными с помощью следующего приема.
Представим функцию у в виде произведения двух функций y = uv. Одной из этих функций можно распорядиться произвольно, а вторая при этом должна быть определена в зависимости от первой так, чтобы их произведение удовлетворяло исходному дифференциальному уравнению. Свободой выбора одной из функций u и v надо воспользоваться для упрощения дифференциального уравнения, получающегося после замены.
Из равенства y = uv получим y′ = u′v + v′u. Это выражение подставим в (6.6) и получим:
u′v + v′u + p(x)uv = q(х); u′v + u(v′ + p(x)v) = q(х).
В качестве v выберем какое-нибудь частное решение дифференциального уравнения
v′ + p(x)v = 0. |
(6.7) |
214
Тогда для нахождения u получим дифференциальное уравнение
u′v = q(х). |
(6.8) |
Из дифференциального уравнения (6.7) находим v.
Интегрируем обе части последнего выражения
(6.9)
Под неопределенным интегралом в выражении (6.9) понимается какая-то одна первообразная от функции p(x), т. е. v есть вполне определенная функция от х.
Теперь используя найденное значение функции v из уравнения (6.8), находим функцию u.
.
Интегрируем обе части последнего выражения и получаем
(6.10)
В формуле (6.10) для функции u берутся все первообразные. Зная функции u и v, находим искомую функцию у.
(6.11)
Выражение (6.11) является общим решением линейного дифференциального уравнения первого порядка.
Пример 6.6. Найдем общее решение линейного дифферен-
циального уравнения |
. |
Используем подстановку y = uv y′ = u′v + v′u и получим
215