Любое дифференциальное уравнение имеет бесконечное множество решений. Геометрически они изображаются семейством интегральных кривых. И эту совокупность решений называют общим решением дифференциального уравнения и записывают так: y = ϕ(x, C1, C2, …, Cn) [2, 22].
А решения, содержащие конкретные значения постоянных, называются частными решениями дифференциальных уравнений.
6.2.дифференциальныеуравнения1-гопорядка
6.2.1.Общеепонятие
Дифференциальное уравнение первого порядка — это уравнение, связывающее независимую переменную, неизвестную функцию, ее производную и (или) дифференциал [2].
Его общий вид следующий:
F(x, y, y′) или
.
Если это уравнение можно разделить относительно производной (y′), то оно примет вид:
y′ = f (x, y).
Общее решение этого дифференциального уравнения имеет следующий вид:
y = ϕ(x, C).
Для того чтобы получить конкретные частные решения, надо задать начальные условия, т. е. указать пару соответствующих друг другу значений аргумента (х0) и функции (у0). Обычно это записывается так: [2, 22].
Задавая начальные условия, из семейства интегральных кривых выделяем какую-то конкретную кривую.
Вопрос о том, в каком случае можно утверждать, что частное решение дифференциального уравнения, удовлетворяющее заданному начальному условию существует, а также явля-
206
ется единственным, становится ясным из следующей теоремы: если в дифференциальном уравнении y′ = f (x, y) функция
y = f (x, y) и ее частная производная по y
непрерыв-
ны в некоторой области D на плоскости х0у, содержащей точку (x0, y0), то существует единственное решение этого дифференциального уравнения y = ϕ(x,), удовлетворяющее условию при
х = х0 и у = у0 [22].
Приведенная теорема была впервые сформулирована и доказана Коши. Поэтому задачу нахождения частного решения по заданным начальным условиям называют задачей Коши.
6.2.2.Дифференциальныеуравненияпервогопорядка сразделяющимисяпеременными
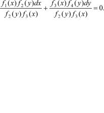
В общем случае такие уравнения имеют вид: f1(x)f2(y)dx +
+ f (x)f4(y)dy = 0.
Разделим обе части этого дифференциального уравнения на произведение f2(y)f (x), предполагая, что оно не равно нулю.
Далее получаем
В полученном дифференциальном уравнении при dx стоит только функция от х, а при dy стоит только функция от у, т. е. переменные разделены. Интегрируем левую и правую части последнего равенства и получаем:
Это и есть общий интеграл исходного дифференциального уравнения [2, 6].
Рассмотрим несколько конкретных задач.
207
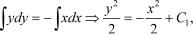
Пример 6.1. Найдем частное решение дифференциального уравнения. xdx + ydy = 0, если начальное условие таково y|x=2 = 10.
ydy = −xdx,
у2 + х2 = 2С1.
Так как постоянная может быть любой, то примем 2С1 = С2. Тогда получим общее решение исходного дифференциального уравнения у2 + х2 = С2.
С геометрической точки зрения это решение представляет собой семейство концентрических окружностей с центром в начале координат и радиусом С (см. рисунок).
y 
0 |
x |
Найдем теперь частное решение для заданных начальных
условий, т. е. выделим из семейства окружностей одну. Полу-
чим 102 + 22 = С2 => С2 = 104, 
Поэтому частное решение имеет вид: у2 + х2 = 104. Пример 6.2. Найдем общее решение дифференциального
уравнения:
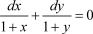
1 + y′ + y + xy′ = 0.
208
Перепишем его в виде:
;
.
Правую и левую часть домножим на dx. (1 + y)dx + dy(1 + x) = 0.
Правую и левую части делим на (1 + х) ≠ 0:
Правую и левую части делим на (1 + y) ≠ 0:
;
Теперь интегрируем правую и левую части:
Окончательно получаем 
Полученное выражение и есть общее решение исходного дифференциального уравнения.
Пример 6.3. Найдем общее решение дифференциального уравнения
2xyy′ = y2 − 1.
Перепишем его в виде
209
Домножим правую и левую часть на dx: 2xydy = (y2 − 1)dx.
Разделим правую и левую части на х ≠ 0:
Разделим правую и левую части на у2 − 1 ≠ 0:
Теперь проинтегрируем правую и левую части полученного выражения
ln |y2 − 1| = ln | xC |, y2 − 1 = xC,
Полученное уравнение и есть общее решение исходного дифференциального уравнения.
Пример 6.4. Найти частое решение дифференциального уравнения (x2 + 4)y′ − 2xy = 0, если задано следующее начальное условие y|x=1 = 5.
Перепишем исходное дифференциальное уравнение так:
Домножим правую и левую части на dx: (x2 + 4)dy − 2xydx = 0.
Разделим правую и левую части на х2 + 4:
Разделим правую и левую части на у ≠ 0:
210