В качестве v выберем какое-то частное решение диффе-
ренциального уравнения |
, тогда u можно найти из |
дифференциального уравнения u′v = x . Находим функцию v
Зная v, находим функцию u
Зная функции u и v, находим исходную функцию у
y = uv = x (x + C). |
(6.12) |
Выражение (6.12) есть общее решение исходного дифференциального уравнения.
Линейныедифференциальныеуравненияпервогопорядка спостояннымикоэффициентами
Общий вид таких дифференциальных уравнений следующий:
y′ + ay = b, |
(6.1 ) |
где a, b R [16].
Дифференциальное уравнение вида (6.1 ) решается разделением переменных, т. е.
Интегрируем левую и правую части последнего выражения и получаем:
216
Таккакпостояннаяможетбытьлюбая,обозначим
и получаем общее решение дифференциального уравнения (6.1 )
(6.14)
Пример 6.7. Найдем общее решение дифференциального уравнения
y′ + 2y + 5 = 0.
6.3.дифференциальныеуравнения2-гопорядка
6.3.1.Общеепонятие
Дифференциальные уравнения второго порядка имеют следующий вид
F(x, y, y′, y″) = 0, |
(6.15) |
или
217
Если уравнение (6.15) можно разрешить относительно второй производной, то оно примет вид [2, 22]
y″ = f (x, y, y′). |
(6.16) |
Простейшим случаем дифференциального уравнения второго порядка является дифференциальное уравнение вида
y″ = f (x), |
(6.17) |
которое решают двукратным интегрированием, т. е.
В качестве примера найдем общее решение дифференциального уравнения
Заметим, что дифференциальное уравнение вида (6.16) имеет бесконечное множество решений, которые задаются формулой
y = ϕ(x, c1, c2) |
(6.18), |
содержащей две произвольные постоянные. Выражение вида (6.18) называется общим решением дифференциального урав-
нения (6.16).
Частное решение дифференциального уравнения (6.16) находится при помощи задания начальных условий:
и 
Найдем частные решения рассмотренного дифференциального уравнения y″=x2 при следующих начальных условиях
218
и 
Тогда получаем следующую систему уравнений для нахождения постоянных С1 и С2.
Поэтому частное решение исходного дифференциального уравнения будет иметь вид:
Геометрический смысл начальных условий заключается в том, что помимо точки с координатами (х0, у0), через которую должна проходить интегральная кривая, задают еще угловой коэффициент касательной (y′0) к этой кривой. Так как общее решение дифференциального уравнения второго порядка зависит от двух произвольных постоянных, то через данную точку проходит бесконечное множество интегральных кривых, но одна из них имеет заданный угловой коэффициент (y′0).
Будем считать, что правая часть дифференциального уравнения (6.16) f (x, y, y′) является функцией трех независимых аргументов, так как при задании начальных условий координаты х0, у0 и угловой коэффициент касательной y′0 ничем между собой не связаны.
Тогда сформулируем теорему существования и единственности решения дифференциального уравнения вида (6.16).
Если функция f (x, y, y′) непрерывна в окрестности значений х0, у0, y′0, то дифференциальное уравнение вида (6.16) име-
ет решение y = y(x) такое, что y(x0) = y0 и y′(x0) = y′0. Если кроме этого непрерывны и частные производные
и
то это решение единственное [2, 22].
219
Как и для дифференциального уравнения первого порядка, задача отыскания частного решения по начальным условиям называется задачей Коши.
Для дифференциальных уравнений второго порядка выделение частного решения можно проводить путем задания так называемых краевых условий. В этом случае задаются значения функции у в двух различных точках
и 
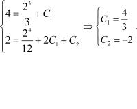
В качестве примера найдем частное решение дифференциального уравнения y″=x2 при следующих краевых условиях:
и.
Подставляяэтизначениявобщеерешениеисходногоуравнения, получим систему уравнений для нахождения неизвестных постоянных С1 и С2.
Таким образом, искомое частное решение имеет вид
В рассмотренном случае получилось одно частное решение, удовлетворяющее заданным краевым условиям, но так бывает не всегда. Дифференциальное уравнение вида (6.16) может не иметь решения, удовлетворяющего заданным краевым условиям или иметь бесконечное множество таких решений. В этом состоит коренное отличие задания краевых условий от задания начальных условий [2, 6, 22].
6.3.2.Линейныеоднородныедифференциальныеуравнениявторого порядкаспостояннымикоэффициентами
К ним относятся дифференциальные уравнения вида
y″ + ay′ + by = 0, |
(6.19) |
где a R, b R.
220