кция y = f (x) стремится к бесконечности. Например, функция y = tg x имеет бесконечное число вертикальных асимптот
(рис. 4.6): 
Рис. 4.6
Теперь рассмотрим наклонные асимптоты. Предположим, что функция y = f (x) имеет наклонную асимптоту y = ax + b
(рис. 4.7).
(
,
) =f(x)
(
,
1)
1
0
x
Рис. 4.7
1 1
Нам нужно найти коэффициенты a и b. Точка А(х, у) принадлежит функции y = f (x), а точка В(х, y1) — асимптоте. Длина отрезка АС — это расстояние от точки А до асимптоты и по условию
(4.9)
Обозначим через угол наклона асимптоты к положительному направлению оси 0х и из DАВС найдем
так как
и = const, то в силу (4.9) имеем
(4.10)
так как (AB) = |y - y1| = |f(x) - ax - b|, то (4.10) принимает следующий вид:
(4.11)
Следовательно, если y = ax + b есть асимптота, то выполняется (4.11) и наоборот, если при коэффициентах a и b выполняется (4.11), то прямая y = ax + b является асимптотой. Теперь найдем коэффициенты a и b. Из (4.11) получаем
Так как x → +`, то
а так как b есть число, то
, поэтому получаем
или |
(4.12) |
1 2
Получив a из (4.11) находим b по формуле
(4.1 )
Следовательно, если y = ax + b является асимптотой, то a
иb находятся по формулам (4.12) и (4.1 ). Если хотя бы один из пределов (4.12) или (4.1 ) не существует, то функция y = f (x)
наклонной асимптоты не имеет [22].
Все приведенные рассуждения справедливы и при x → -`. Так как асимптотическое изменение функции может быть раз-
личным при стремлении х к положительной и отрицательной бесконечности, то надо раздельно рассматривать случаи x →-`
иx →+`. Если существует асимптота в первом случае, то ее на-
зывают левосторонней, а во втором случае — правосторонней. Если при x →-`и x →+`пределы (4.12) и (4.1 ) совпадают, то левосторонняя и правосторонняя асимптоты являются час-
тями одной и той же прямой.
Заметим, что если функция дробно-рациональная, то при нахождении a и b сразу можно рассматривать произвольное стремление к бесконечности.
Рассмотрим примеры нахождения наклонных асимптот.
Пример 4.21.
Так как данная функция дробно-рациональная, то сразу рассматриваем произвольное стремление х к `
Поэтому получаем |
. |
1
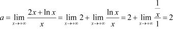
Пример 4.22.
y = 2x + ln x.
(по правилу Лопиталя)
Из последнего равенства следует, что исходная функция наклонной асимптоты не имеет.
4.3.4.Исследованиефункцийспомощьюпроизводныхпервого
ивторогопорядковипостроениеихграфиков
Приведем ряд теорем, позволяющих находить участки монотонности (возрастания, убывания) функции, экстремумы функции, участки выпуклости и вогнутости функции и точки перегиба.
Вначале сформулируем достаточный признак монотон-
ности [2, 16]:
1)если f (x) > 0 на некотором интервале, то f (x) на этом интервале возрастает;
2)если f (x) < 0 на некотором интервале, то f (x) на этом интервале убывает;
) если f (x) = 0 на некотором интервале, то f (x) на этом интервале постоянна.
Геометрическая интерпретация этого признака показана на рис. 4.8.
Важную роль в исследовании функций играют точки, отделяющие интервалы ее возрастания от интервалов ее убывания. Эти точки носят название экстремумов функции или ее локальных максимумов и минимумов. Слово “локальный” означает, что точка будет максимальной (минимальной) лишь на каком-то интервале.
Теперь приведем определение:
1 4
Рис. 4.8 |
tg = y (x = x1) < 0; tg b = y (x = x2) > 0; y (x = x ) = 0 |
1) точка M (x1, y1) есть точка локального максимума функции y = f (x), если f (x1) — наибольшее значение функции y = f (x) в некоторой окрестности точки M (x1, y1);
2) точка N (x2, y2) есть точка локального минимума функции y = f (x), если f (x2) — наименьшее значение функции y = f (x) в некоторой окрестности точки N (x2, y2).
Функция на своей области определения может иметь несколько экстремумов. Наибольшее и наименьшее значения функции ее области определения обычно называют абсолютным максимумом и абсолютным минимумом.
Понятие экстремума функции иллюстрируется рис. 4.9. Теперь сформулируем необходимый признак экстремума
[2, 16]: Если в точке (т. А, т. В, т. С, т. D на рис. 4.9) функция y = f (x) достигает экстремума, то ее производная в этой точке либо равна нулю (т. А, т. В, т. D на рис. 4.9), либо не существует
(т. С на рис. 4.9).
Приведенный признак не является достаточным, т. е. из того факта, что производная в данной точке равна нулю или не существует, еще не следует, что эта точка есть экстремум функции.
Недостаточностьданногопризнакапроиллюстрируемпримером 4.2 . Рассмотрим функцию y = x и найдем ее экстремум,
1 5