Пример 4.8.
Z = sin (x y2)·ln ( y + x2).
Производнаяпонаправлениюиградиент
Предположим, что в каждой точке А некоторой области D задано значение скалярной физической величины W (температура, давление, влажность и т. п.). Тогда W называется скалярной функцией точки и записывается так W = W(A). Если в области D задана скалярная функция точки W(A), то говорят, что в этой области задано скалярное поле.
Если скалярное поле не зависит от времени, оно называется стационарным. В противном случае поле будет нестационарным, т. е. будет зависеть не только от точки А, но и от времени t.
Производнаяпонаправлению
В гиперпространстве, в котором задано поле W = W(x1, x2, …, xn) возьмем точку А(x1, x2, …, xn) и найдем скорость изменения функции при движении точки А в направлении некоторого вектора
. Этот вектор начинается в точке А, а углы между ним и координатными осями Х1, Х2, …, Хn (направляющие коси-
нусы) равны: cos w1, cos w2, …, cos wn.
Приращение DW, получаемое при переходе от точки А в точку А1, по направлению
равно:
121
DW = W(x1 + Dx1, x2 + Dx2, …, xn + Dxn) - W(x1, x2, …, xn).
Тогда 
Производной от функции W(x1, x2, …, xn) в точке А(x1, x2, …, xn) по направлению
называется предел
То есть производная характеризует скорость изменения функции по данному направлению.
В курсах математического анализа доказывается (см., например, [2]), что
Пример 4.9. Найти производную функции
в т. A(0, 1, 2, 1) по направлению к т. A1(2, 0, 1, )
Находим направляющие косинусы вектора
:
cos w1 = 0,6 2; cos w2 = -0, 16; cos w = -0, 16; cos w4 = 0,6 2.
Далее определяем частные производные исходной функции W и их значения в точке А, т. е.
Затем вычисляем искомую производную по направлению
Знак минус говорит о том, что функция в заданном направлении убывает. Вектор, координатами которого являются зна-
122
чения частных производных функции W(x1, x2, …, xn) в точке А(x1, x2, …, xn), называют градиентом функции и обозначают grad W, т. е.
или
Теперь формулу для производной по направлению можно переписать в виде скалярного произведения grad W на единич-
ный вектор
= (cos w1, cos w2, …, cos wn), т. е.
или 
где — угол между вектором grad W и направлением
.
Из последней формулы видно, что dW / d достигает своего максимального значения в том случае, когда = 0. Поэтому направление градиента совпадает с направлением
вдоль которого функция меняется быстрее всего, т. е. grad W показывает направление скорейшего возрастания функции. А наибольшая скорость изменения функции W в точке А равна:
Пример. Найти наибольшую скорость возрастания функ-
ции
в точке А(1, 2, -1, ).
Вначале находим частные производные
Затем получаем
и вычисляем
и, наконец, находим наибольшую скорость возрастания функции
|grad W(A)| = 109,2.
12
4.3.некоторыеприложениядифференциальногоисчисления
4.3.1.ФормулаТейлора
Пусть некоторая функция y = f(x) имеет все производные до (n + 1)-го порядка включительно на некотором интервале, включающем точку x0. Найдем многочлен y = Pn(x) степени не выше n, значение которого в точке x = x0 равно значению функции y = f(x) в этой точке, а значение его производных до n-го порядка в точке x = x0 равны значениям соответствующих производных от функции y = f(x) в этой точке, т. е.
(4.1)
Искомый многочлен (более подробно см., например, [20,22]) будет иметь вид:
(4.2)
Через Rn(x) обозначим разность значений данной функции y = f(x)и многочлена, находимого по формуле (4.2), т. е. Rn(x) =
= f(x) – Pn(x).
Отсюда f(x) = Pn(x) + Rn(x), или
(4. )
где Rn(x) — это остаточный член, который может быть записан в разных формах. Мы приведем так называемую форму Лагранжа, которая имеет вид:
124
(4.4)
Здесь [ [x, x0] и ее можно представить в виде = x0 + + l(x - x0), где 0 < l < 1. Тогда формула для остаточного члена примет вид:
А формула
(4.5)
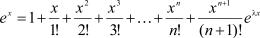
называется формулой Тейлора для функции y = f(x). Если в формуле (4.5) принять x0 = 0, то она примет вид:
(4.6)
Здесь 0 < l <1, а формулу (4.6) часто называют формулой Маклорена. Теперь найдем разложение функции y = ex по фор-
муле (4.6).
f (x) = ex; f (0) = 1; f (x) = ex; f (0) = 1; f 0(x) = ex;
f 0(0) = 1, …, f (n)(x) = ex; f (n)(0) = 1.
Эти данные подставляем в формулу (4.6) и получаем:
, где 0 < l <1.
125