(cos x) = –sin x;
Дополним таблицу производных производными от гиперболических и обратных гиперболических функций, которые не являются основными элементарными функциями, но часто используются в различных приложениях [2, 22].
К гиперболическим функциям относятся гиперболические синус (shx), косинус (chx) и тангенс (thx), которые находятся по формулам:
Все эти функции определены на множестве действительных чисел (R) и связаны между собой следующими соотношениями:
ch2x - sh2x = 1; ch2x = ch2x + sh2x; sh2x = 2shx chx;
Функции, обратные shx, chx, thx, являются обратными гиперболическими функциями и обозначаются Arсhx (арксинус гиперболический), Arshx (арккосинус гиперболический), Arthx (арктангенс гиперболический):
111
Производные гиперболических и обратных гиперболических функций находятся по формулам:
Правиладифференцирования
1. Производная алгебраической суммы функций:
(f1 (x) ± f2 (x) ± … ± fn (x)) = f1 (x) ± f2 (x) ± … ± fn (x); 2. Производная произведения функций:
(f1 (x) · f2 (x)) = f1 (x) · f2 (x) + f1 (x) · f2 (x).
Исходя из этого правила для трех функций, получим,
(f1(x) · f2(x) · f (x)) = (f1(x) · f2(x)) · f (x) + f1(x) · f2(x) · f (x) = f1 (x) · f2(x) · f (x) + f2 (x) · f1(x) · f (x) + f (x) · f1(x) · f2(x);
. Производная частного двух функций:
4. Производная сложной функции. Сформулируем теорему.
Теорема 4.3. Производная сложной функции равна производной заданной функции по промежуточному аргументу, умноженной на производную этого аргумента по независимой переменной, т. е. если y = f(u), a u = w(x) и y = f(w(x)), то согласно данной теореме:
112
Аналогично выводится формула при любом числе промежуточных аргументов, т. е. производная сложной функции равна произведению производных от функций ее составляющих.
Например, найдем производную функции y = cos2 4x.
y = 2cos 4x · (–sin 4x) · 4 = –8cos 4x · sin 4x = –4sin 8x;
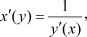
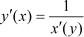
5. Производная обратной функции находится по формуле
или 
т. е. производные от взаимно обратных функций обратны по величине. В качестве примера найдем производную функции
Примерынахожденияпроизводных
Пример 4.1.
Прежде чем найти производную от заданной функции перейдем к другому основанию и найдем производную исходной функции по правилу производной частного.
11
Пример 4.2.
y = xsin x.
Данная функция называется сложной показательной функцией. Чтобы найти производную от такой функции прологарифмируем ее левую и правую части, а затем продифференцируем полученные выражения, помня, что у есть функция от х [2]
Дадим понятие о дифференциале функции.
Если задана непрерывная функция y = f(x), имеющая про-
изводную
, то: 
где (x) — бесконечно малая величина при Dx → 0. Далее получаем:
Dx = f (x) · Dx + (x) · Dx.
Дифференциалом (от латинского слова differentia — разность) функции называется главная часть приращения этой функции, линейная относительно приращения аргумента х, т. е.
dy = f (x) · Dx.
Геометрический смысл дифференциала виден из рис. 4. . Дифференциал функции геометрически изображается приращением ординаты касательной, проведенной в точке
М(х,у) при данных значениях х, Dх [16, 22]. Рассмотрим функцию у = х.
Для нее получим, что dy = Dx, а так как у можно заменить на х по условию, то имеем dx = Dx.
Следовательно, дифференциал функции равен dy = y dx. Отсюда следует формула:
Дадим понятие о производной второго порядка. Предположим, что нам задана функция y = f(x) имеющая производную y = f (x).
114
Касательная
Рис. 4.3
Эта производная также является функцией и если она дифференцируема, то от нее можно взять производную. Она будет называться производной второго порядка:
Например, найдем вторую производную функции.
Пример 4.3.
y = x2 + sin x.
y = 6x + sin2 x · cos x.
y0 = 6 + (2sin x · cos2 x - sin x).
С помощью первой и второй производных можно исследовать функцию на экстремум (max, min), находить точки перегиба и участки выпуклости и вогнутости функции.
4.2.некоторыесведенияофункцияхмногихпеременных. Понятиеочастнойпроизводной
Ранее были рассмотрены функции, которые зависели от одного независимого аргумента. Но в реальной действительнос-
115