при х → 0 у → 0,
тогда получим:
Пример 3.9.
т. е. бесконечно малое.
Пример 3.10.
Пример 3.11.
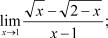
Пример 3.12.
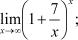
Пример 3.13.
101
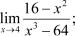
Пример 3.14.
Необходимо свести данный предел к первому замечательному пределу. Для этого делаем замену переменной, т. е. arcsin x = y, x = sin y, при х → 0 у → 0.
Тогда получим:
3.3.комплексныечисла
Комплексным числом t называется выражение следующего вида:
t = p + ig, p [ R, g [ R,
где i — мнимая единица (i2 = -1) [2].
В том случае, если р = 0 имеем чисто мнимое число t = ig. А если g = 0, то t = p, т. е. является действительным числом.
Поэтому множество действительных чисел является подмножеством множества комплексных чисел (С), т. е. R , C.
Величина p есть действительная часть комплексного числа t и обозначается p = Ret, а g — мнимая часть комплексного числа t и обозначается g = Imt [2].
Комплексные числа t = p + ig и
= p – ig, отличающиеся только знаком мнимой части, называются комплексно сопряженными [2, 16].
102
Пример 3.15.
Комплексные числа t = 5 + 7i;
= 5 – 7i являются комплексно сопряженными.
Два комплексных числа t1 = p1 + ig1 и t2 = p2 + ig2 будут равны только в том случае, когда равны их действительные и
мнимые части, т. е. p1 = p2 и g1 = g2
Пример 3.16.
Найти x и у из равенства 7у + 4хi = 18 – 9i.
Исходя из условия равенства комплексных чисел, получим
7y = 18 → y = 18/7;
4x = –9 → x = –9/4.
Любое комплексное число t = p + ig можно изобразить точкой А (р, g) на плоскости 0pg такой, что р = Rеt, g = Imt и, наоборот, каждую точку А (p, g) координатной плоскости можно рассматривать как образ комплексного числа t (рис. .10).
Рис. 3.10
Плоскость 0pg называется комплексной плоскостью, ось 0р — действительной осью, а 0g — мнимой осью.
С каждой точкой А плоскости 0pg связан радиус-вектор
. Угол, образованный этим радиусом-вектором с поло-
жительным направлением оси 0р, называется |
аргументом |
w = Arg t комплексного числа. |
|
Наименьшее по модулю значение Arg t |
называется |
его главным значением и обозначается аrg t. Заметим, что
-p < аrg t # p.
10
Значение аргумента находят по формулам (см. рис. .10).
где
— модуль комплексного числа t [2, 16].
Алгебраической формой комплексного числа называется запись вида t = p + ig. А модуль
и аргумент w комплексного числа можно рассматривать как полярные координаты вектора
, изображающего комплексное число t (см. рис. .10).
Тогда получаем р = r cos w; g = r sin w; и, следовательно, комплексное число t = r(cos w + i sin w) можно записать в виде, который называется тригонометрической формой комплексного числа.
Пример 3.17.
Записать в тригонометрической форме комплексное число t = 1 + i.
Поэтому
arg t = w = p/4.
Следовательно, получим
Из формулы Эйлера cos w + i sin w = exp (iw) следует показательная форма комплексного числа [16]:
t = r exp (iw),
где r = |t|, а w = arg t.
Пример 3.18.
Найдем показательную форму комплексного числа.
104
Задачидлясамостоятельногорешения
1. Найти области определения функций:
1.1.
1.2.y = log5 (6 cos x – 2);
1. .
1.4. y = 5x – 16x2 + 2x – 7. 2. Найти пределы функций:
2.1.
2.2.
2. .
2.4.
2.5.
2.6.
2.7.
2.8.
2.9.
2.10.
2.11.
2.12. 
105