. Найти значение х и у из равенств:
а) 17x + 15i = 2 – 8iy;
b)6x – (5x – y)i = 7 + 2i;
c)(16 – i)x + (12 + 6)y = 10 + 6i;
d)(1 i – 10)x + (12 – 1 i)y = 12 – 2 i.
4.Записать комплексное число в тригонометрической и показательной формах.
a)
b)
c)t = 2 – 2i;
d)t = 6i.
5. Записать комплексные числа в алгебраической и тригонометрической формах.
a) 
b)
c) 
d)
вопросыдлясамопроверки
1.Что называется функцией одной независимой переменной?
2.Перечислить основные элементарные функции.
. Какие функции называются элементарными? Приведите примеры.
4. Что такое предел функции y=f(x) при x → x0?
Дайте определение правого и левого пределов функции y =
=f(x).
5.Дайте определение предела последовательности.
106
6.Какая функция называется бесконечно большой величиной при x → x0?
7.Какова связь между бесконечно большой и бесконечно малой величинами?
8.Сформулировать правила предельного перехода в случае арифметических действий.
9.В чем состоит правило предельного перехода для непрерывной функции?
10.Какое число называется комплексным?
11.Какие комплексные числа называются чисто мнимыми?
12.Какие комплексные числа называются сопряженными?
1 . Что называется модулем и аргументом комплексного числа?
14.Как записываются комплексное число в тригонометрической форме?
15.Как записываются комплексное число в показательной
форме?
4.ОснОвыдиФФеренциальнОгОисчисления
Дифференциальное исчисление — это раздел математического анализа, связанный в основном с понятиями производной и дифференциала функции.
4.1.Производнаяпервогопорядка.дифференциал. Производнаявторогопорядка
Производной функции y = f(x) называется предел отношения приращения функции к приращению аргумента при произвольном стремлении последнего к нулю [2, 20, 22].
т. е. производная функции
107
есть некоторая функция, полученная по определенным правилам из заданной функции.
Значение производной функции y = f(x) в какой-то точке x0 обозначают обычно так:
f (x0) или
.
Механический смысл производной — это предел средней скорости за бесконечно малый промежуток времени.
Геометрический смысл производной вытекает из следующей теоремы.
Теорема 4.1. Если значение производной от функции y = f(x) при x = x0 равно
, то прямая, проведенная через точку M0(x0, y0) с угловым коэффициентом, равным
, является касательной к графику функции в точке M0.
Геометрический смысл производной иллюстрируется на рис. 4.1.
Рис. 4.1 |
108
Проведем через точки M0 и M1 секущую, угол между секущей и положительным направлением оси 0x равен:
Будем перемещать точку M1 по кривой в сторону точки M0 т. е. устремим Dx к нулю. Предельным значением секущей будет касательная, проходящая через точку M0. Тогда получим
[2, 16, 17]:
Установим связь между непрерывностью и дифференцируемостью функции. Она видна из следующей теоремы,
Теорема 4.2. Если функция дифференцируема в некоторой точке, то в этой точке она непрерывна. Обратное утверждение неверно. В качестве примера возьмем функцию y = |x|. Ее график показан на рис. 4.2.
Рис. 4.2 |
Из него видно, что в точке х = 0 данная функция не имеет определенной касательной, а значит, не имеет в этой точке и производной.
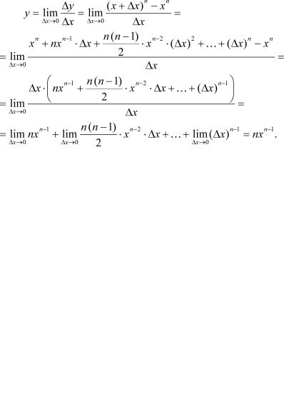
Из определения производной следует способ ее вычисления. Найдем производную функции y = xn, где n [ Z, исходя из
определения производной
109
Итак, (xn) = nxn–1, например (x8) = 8x7.
Можно доказать, что полученная формула верна для всех n [ R [22].
Из приведенного примера видно, что использовать определение производной для ее вычисления дело достаточно трудоемкое. Поэтому гораздо проще, используя определение производной, вывести производные основных элементарных функций и сформулировать правила дифференцирования алгебраической суммы, произведения, частного функций, сложной функции, обратной функции. По полученным формулам и правилам можно будет находить производные любых элементарных функций [2].
Производныеосновныхэлементарныхфункций
(xn) = nxn-1;
(ax) = ax ln a; (ex) = ex;
(sin x) = cos x;
110