Следствие Постоянный множитель можно выносить за знак предела, т. е.
где C [ R.
Предел частного двух функций равен частному от их пределов, если предел знаменателя не равен нулю, т. е.
Предел целой положительной степени функции равен той же степени предела этой функции, т. е.
где n [ Z+, Z+ — целые положительные числа.
Предел целой положительной n-й степени корня функции равен корню n-й положительной степени предела этой функции, т. е.
где n [ Z+.
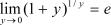
Приведем два замечательных предела, которые можно использовать при решении пределов.
1) 
2) (основание натуральных логарифмов).
Стремление к бесконечности всегда можно заменить стремлением к нулю и наоборот. Заменим во втором замеча-
тельном пределе
, а . Тогда согласно теореме .1 при
х → ` у → 0 и второй замечательный предел принимает вид
.
96
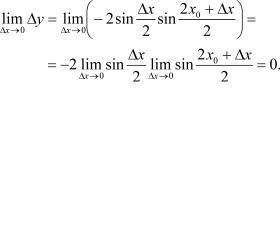
Кратко рассмотрим понятие непрерывности функции. Для этого напомним, что приращением функции y = f(x) в точке х0 называется величина Dy = Df(x) = f(x0 + Dx) – f(x0) [2, 16], где Dх есть приращение аргумента (рис. .9).
Функция y = f(x) называется непрерывной в точке х0, если она определена в какой-либо окрестности этой точки, и если выполняется следующее равенство
( . )
Докажем, например, что функция y = cos x непрерывна в любой точке х0 своей области определения.
Рис. 3.9
Согласно определению непрерывности функции в точке х0 получим
97
Пользуясь выражением для приращения функции, формулу ( . ) можно переписать так:
или
Обозначим x0 + Dx = x, тогда x будет стремиться к х0 при Dx → 0, и окончательно получим
, |
( .4) |
т. е. функция y = f(x) непрерывна в точке х0, если она определена в некоторой окрестности этой точки и предел функции при стремлении аргумента к х0 существует и равен значению функции в этой точке [2].
Заметим, что функция является непрерывной на некотором интервале, если она непрерывна в каждой его точке. А все основные элементарные функции непрерывны на тех интервалах, в которых они определены. Приведем основные свойства непрерывных функций [9].
1.Алгебраическая сумма конечного числа непрерывных функций есть функция непрерывная.
2.Произведение конечного числа непрерывных функций есть функция непрерывная.
. Частное двух непрерывных функций есть функция непрерывная в тех точках, в которых делитель не равен нулю.
4.Если y = f(u) и u = w(x) — непрерывные функции своих аргументов, то сложная функция y = f(w(x)) также непрерывна.
5.Если функция y = f(x) непрерывна и имеет обратную функцию x = w(y), то последняя также непрерывна.
Если функция y=f(x) непрерывна, то в формуле ( .4) можно поменять местами знаки функции и предела, т. е. [16]
98
( .5.)
Формула ( .5) означает, что если функция непрерывна, то для отыскания предела надо вместо аргумента х подставить предельное значение х0. Это правило неприменимо в том случае, когда при постановке предельного значения мы получаем неопределенности вида:
и др.
Теперь приведем конкретные примеры вычисления некоторых пределов [4, 2 ].
Пример 3.1.
Пример 3.2.
Пример 3.3.
Если подставить предельное значение, то получим неопределенность . Поэтому для решения подобных примеров исполь-
зуют следующий прием: делят числитель и знаменатель на х в максимальной степени, в данном случае на х5. Тогда получим:
Пример 3.4.
99
Пример 3.5.
(Предел в квадратных скобках — это второй замечательный предел).
Пример 3.6.
Пример 3.7.
Так как логарифмическая функция непрерывна, то можно воспользоваться формулой ( .5).
Пример 3.8.
Данный предел можно свести к первому замечательному пределу путем замены переменной, т. е.
100