Рассмотрим случай, когда собственные числа находятся сразу исходя из вида матрицы (исходная матрица либо диагональная, либо верхняя или нижняя треугольная). В этом случае собственные числа l1, l2, …, ln совпадают с элементами главной диагонали исходной матрицы a11, a22, …, ann.
Пусть задана верхняя треугольная матрица А размера
(n n):
Тогда имеем
Отсюда видно, что собственные числа равны:
l1 = a11, l2 = a22, …, ln = ann.
С появлением ЭВМ получили распространение итерационные методы нахождения собственных чисел, которые не используют вычисление характеристического полинома. К этим способам относятся: степенной метод, метод обратных итераций, QR-алгоритм, метод вращений Якоби, QL-алгоритм и др. Причем применение конкретного итерационного метода зависит от вида исходной матрицы А [1].
Теперь рассмотрим конкретные примеры. Пример 2.5. Дана матрица А размера ( )
76
Найти собственные числа и собственные векторы матрицы А.
Из условия задачи видно, что матрица А является верхней треугольной матрицей. Поэтому собственными числами данной матрицы будут элементы ее главной диагонали
Теперь найдем соответствующие найденным собственным числам собственные векторы. Для этого мы используем урав-
нение (2.16).
Для l1 = –4 получаем
(–4E – A) X1 = 0, |
(2.20) |
где
Далее раскроем матричное уравнение (2.20)
В результате получим
или
Так как матрица этой системы вырождена, то она имеет ненулевые решения, которые имеют вид:
77
т. е. получены искомые собственные вектора для l1 Для l2 = l = 1 получаем
где
или в подробной записи
В результате получаем
5х1 – 4х2 – х = 0 или х = 5х1 – 4х2,
т. е. это уравнение имеет ненулевые решения, которые и будут искомыми собственными векторами для l2.
Эти решения запишем в виде
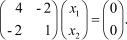
Пример 2.6. Дана матрица А размера (2 2). Найти собственные числа и собственные матрицы А
Запишем характеристическое уравнение (2,17) для данного случая
Теперь найдем собственные векторы исходной матрицы А, соответствующие l1 = 1 и l2 = –4.
78
Для l1 = 1 имеем
где
В подробной записи получим
или 
Так как определитель полученной матрицы равен нулю, то она имеет ненулевые решения, которые и являются собственными векторами Х1, которые мы и находим
Из первого уравнения системы получаем х2 = 2х1. Из второго уравнения системы получаем х2 = 2х1, т. е. она имеет бесконечное множество решений. И искомый собственный вектор Х1 будет иметь вид
Аналогично, для l2 = –4 находим
В заключение приведем два полезных правила [18]:
1)сумма собственных чисел матрицы А равна следу этой матрицы, т. е.
2)произведение собственных чисел матрицы А равно определителю этой матрицы
79
2.4.некоторыесведенияовекторах
Цифровые данные, используемые в экономике, можно представить в виде списков чисел, каждое из которых имеет определенный смысл.
Например, списки цен различных товаров в магазинах, объемы продукции разных видов, выпущенных каким-либо предприятием за год и т. д. В математике такие упорядоченные списки чисел называют векторами. Дадим определение n-мер- ного вектора (n = 1, 2, ….).
Упорядоченный набор n чисел x1, х2, х , …, хn называется n- мерным вектором. Мы будем обозначать векторы заглавными буквами со стрелками над ними, т. е.
, числа x1, х2, х , …, хn есть координаты вектора, а n — его размерность [12, 1 ].
Два n-мерных вектора называются равными, если их соответствующие координаты равны, например:
Вектор, все координаты которого нули, называется нольвектором и обозначается
.
Алгебраической суммой двух n-мерных векторов
и 
называется вектор
, каждая координата которого равна алгебраической сумме соответствующих координат векторов
и
, т. е.
(2.21)
Произведением действительного числа k на n-мерный вектор
называется n-мерный вектор
, каждая координата которого равна произведению числа k на соответствующую координату вектора
, т. е.
(2.22)
Множество n-мерных векторов, для которых определены действия алгебраического сложения (2.21) и умножения на
80