(2.1)
где 
aij — коэффициенты;
x1, x2, …, xn — неизвестные;
b1, b2, …, bm — свободные члены.
Систему (2.1) можно записать в матричном виде:
AX = B, |
(2.2) |
где |
— матрица системы; |
—вектор свободных членов;
—вектор неизвестных.
Решением СЛАУ называется любая совокупность n чисел (x1, x2, …, xn), которая обращает каждое уравнение системы (2.1) в верное равенство.
Любая СЛАУ вида (2.1) может иметь одно решение, бесконечное множество решений, ни одного решения.
66
Если СЛАУ имеет хотя бы одно решение, то она называется совместной. Если СЛАУ не имеет решений, то она — несовместная.
Если все свободные члены СЛАУ (2.1) равны нулю, то система называется однородной, а если хотя бы один из свободных членов системы не равен нулю, то она называется неоднородной. Система однородных уравнений всегда совместна, т. е. она имеет хотя бы одно решение (хj=0).
Перед решением СЛАУ надо убедиться в ее совместности. Поэтому приведем без доказательства теорему Кронекера-Ка- пелли, которая позволяет это сделать.
ДополнимматрицуАсистемы(2.2)столбцомсвободныхчленов. В результате этого получим матрицу порядка m (n + 1), которую называют расширенной матрицей системы (С):
Через r(А) и r(С) обозначим ранги матриц А и С соответственно.
Теперь сформулируем теорему [19].
Теорема 2.2. Для того чтобы СЛАУ вида (2.2) была совместна, необходимо и достаточно, чтобы ранг матрицы системы (r(А)) был равен рангу расширенной матрицы системы (r(С)), т. е. r(А) = r(С). Здесь возможны два случая: 1) если r(А) = r(С) = = n, где n — число неизвестных в системе (2.2), то СЛАУ имеет единственное решение; 2) если r(А) = r(С) < n, то СЛАУ имеет бесконечное множество решений.
СЛАУ можно решать или прямыми или итерационными методами.
В прямых (точных) методах решение системы (2.2) находится за конечное число арифметических действий. К прямым методам относятся метод Гаусса и его модификации, метод квадратного корня, метод Крамера и др.
67
Итерационные методы (методы последовательных приближений) состоят в том, что решение системы (2.2) находится как lim (предел) при k →`последовательных приближений х(k), где k — номер итерации. Обычно за конечное число итераций этот предел не достигается. Как правило, задается некоторое малое число > 0 (точность) и вычисления проводятся до тех пор, пока не будет выполнено условие
К итерационным методам относятся: метод Якоби, метод Зейделя, метод релаксации, метод минимальных невязок, метод скорейшего спуска и др. [1, 24]
В предлагаемом учебнике рассмотрим прямые методы: метод Гаусса и метод Крамера.
Рассмотрим метод Гаусса решения СЛАУ. Он состоит из двух шагов. На первом шаге мы приводим исходную систему уравнений к верхнему треугольному виду, а на втором шаге находим неизвестные (хj), начиная с последнего [1, 17].
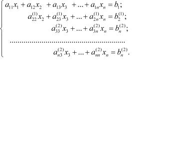
Предположим, что мы имеем систему n уравнений с n неизвестными, и она является совместной, т. е.
(2. )
Исключаем неизвестное x1 из всех уравнений, начиная со второго. Для этого из второго уравнения почленно вычтем первое, умноженное на a21/a11, из третьего почленно вычтем пер-
вое, умноженное на a 1/a11 и т. д., причем a11 0, если a11 = 0, то переставляем местами уравнения системы (2. ). После этого
система (2. ) примет вид.
(2.4)
68
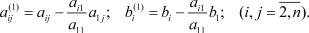
где 
В системе (2.4) исключаем неизвестные x2 из всех уравнений, начиная с третьего, т. е. ведущим элементом становится
, если он равен нулю, то переставляем уравнение местами, т. е. из третьего уравнения системы (2.4) мы вычитаем второе, умноженное на коэффициент
, из четвертого уравнения системы (2.4) вычитаем второе, умноженное на коэффициент
и т. д. В результате мы получаем следую-
щую систему уравнений:
(2.5)
где
Аналогичный процесс мы продолжаем далее и на (n-1)-м шаге приходим к следующей системе уравнений.
(2.6)
То есть исходную систему уравнений (2. ) привели к верхнему треугольному виду (первый шаг метода Гаусса завершен). Второй шаг (обратный ход) заключается в решении системы уравнений (2.6). Он осуществляется следующим образом: из
последнего уравнения системы (2.6) находим
, исполь-
69
зуя найденное значение xn из предпоследнего (n–1) уравнения системы (2.6) находим xn–1, затем из (n–2) уравнение системы
(2.6) находим xn–2 и т. д. до x1.
Алгоритм Гаусса состоит из однотипных операций, которые легко программируются.
Решим систему уравнений, используя метод Гаусса.
Пример 2.3.
(2.7)
Исключим x1 из второго и третьего уравнения системы (2.7). Для этого умножим первое уравнение почленно на 4 и вычтем из второго, затем умножим первое уравнение на (–5) и вычтем из третьего. В результате получим следующую систему уравнений
(2.8)
Теперь исключим из третьего уравнения системы (2.8) неизвестное x2. Для этого умножим поэлементно второе уравнение системы (2.8) на (– ) и вычтем из третьего уравнения сис-
темы (2.8).
В результате получим следующую систему уравнений
(2.9)
Из системы уравнений (2.9) последовательно находим неизвестные х, начиная с последнего (x ), т. е. x = –1;
Теперь рассмотрим метод Крамера решение СЛАУ.
70