Материал: baldin_kv_red_matematika_dlia_gumanitariev

Внимание! Если размещение файла нарушает Ваши авторские права, то обязательно сообщите нам

Рассмотрим систему уравнений (2. ), которую запишем в матричном виде

AX = B,

(2.10)

где

— матрица системы;

вектор свободных членов;

вектор неизвестных.

Если определитель матрицы А (det А) не равен нулю, то существует A–1.

Домножим слева систему (2.10) на A–1, получим

A–1 AX = A–1B, так как A–1A = E, то

имеем EX = A–1B, а так как EX = X, то

окончательно получим X = A–1 B (2.11) или в развернутом виде

(2.12)

Из (2.12) следует

71

(2.1 )

Числители равенств (2.1 ) есть разложения по элементам 1, 2, …, n-го столбцов определителя, полученного из det А заменой в нем 1, 2, …, n столбцов столбцом свободных членов, т. е.

Таким образом, неизвестные xi можно найти по формуле

(2.14)

где i = 1, 2, …, n. [19].

Решим систему уравнений, используя метод Крамера

Пример 2.4.

Вначале найдем определитель исходной системы

Затем находим

72

и определяем неизвестные xi; i = 1, 2, :

2.3.собственныечислаисобственныевекторыматриц

Проблема собственных чисел играет существенную роль не только в линейной алгебре, но и в других разделах математики, а также во многих прикладных областях (в менеджменте, психологии, юриспруденции) [12].

Пусть задана квадратная матрица А размера (n n), элементами которой являются действительные числа (R) и вектор неизвестных Х размера (n 1):

Предположим, что l — это некоторое неизвестное действительное число.

Если l и ненулевой вектор Х удовлетворяют уравнению

7

AX = l X,

(2.15)

то l называется собственным числом или собственным значением матрицы А, а Х — собственным вектором этой же матрицы, соответствующим l [12, 15].

Преобразуем уравнение (2.15) к следующему виду:

l X A X = 0, (lE A) X = 0,

(2.16),

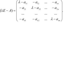
где Е — единичная матрица. Матрица

называется характеристической матрицей [18].

Так как по условию вектор неизвестных Х не равен нулю, то среди его координат x1, x2, …, xn должна быть хотя бы одна ненулевая. А для того, чтобы система линейных однородных уравнений (2.16) имела ненулевое решение, необходимо и достаточно, чтобы определитель этой системы был равен нулю (это следует из теоремы Кронекера-Капелли).

Поэтому получаем

(2.17)

Число l= lk, где будет собственным числом только в том случае, если матрица (lkE A) — вырожденная.

Уравнение (2.17) называется характеристическим уравнением матрицы А и представляет собой алгебраическое уравнение степени n относительно l [18]:

det (lE A) = ln + p

ln–1 + p

ln–2

+…+ p

n

= 0.

(2.18)

1

2

 

 

 

 

74

Уравнение (2.18) имеет n корней l1, l2, …, ln. Множество всех корней уравнения (2.18) называется спектром матрицы А.

Заметим, что уравнение det (A – lE) = 0 имеет те же корни, что и уравнение (2.17), т. е.

det (A – lE) = (–1)n det (lE A).

Каждому собственному значению спектра матрицы А ставится в соответствие собственный вектор, определенный с точностью до скалярного множителя. Если lk есть кратный корень характеристического уравнения, то для произвольной квадратной матрицы число соответствующих собственных векторов может быть не равно кратности корня. С геометрической точки зрения собственный вектор определяет в пространстве некоторое направление (прямую, проходящую через начало координат), которое в результате преобразования не изменяется и вдоль которого пространство испытывает растяжение или сжатие в l раз [ , 18].

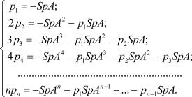
Полином ln + p1ln–1 + … + pn = 0 называют характеристическим полиномом. Коэффициенты pk можно вычислить по следующим рекуррентным формулам [29]:

(2.19)

Здесь — след матрицы (сумма элементов, стоя-

щих на главной диагонали матрицы А). Заметим, что pn = (–1)ndet A. При отыскании собственных чисел даже для матриц невысокого порядка неизбежно большое количество вычислений. Для общего случая нельзя предложить оптимальный способ нахождения собственных чисел и собственных векторов матрицы.

75