7. Значение определителя не изменится, если к элементам его строки (столбца) прибавить соответствующие элементы другой строки (столбца), умноженные на одно и то же вещественное число:
где 
Дадим понятие минора и алгебраического дополнения [ , 19]. Рассмотрим матрицу размера m n:
Выделим в ней k различных строк и k различных столбцов, причем 1 # k # минимального значения из m и n.
Элементы выделенных строк и столбцов образуют квадратную матрицу порядка k. Определитель выделенной квадратной матрицы порядка k называют минором k-го порядка матрицы А.
Если в выделенную квадратную матрицу порядка k включены строки и столбцы исходной матрицы, имеющие одинаковые номера, то такой минор называется главным.
Полное обозначение минора k-го порядка следующее
где i — номера выделенных строк;
j — номера выделенных столбцов.
Общее число миноров порядка k прямоугольной матрицы размера m n можно найти по формуле
56
где
— число сочетаний из m по k,
— число сочетаний из n по k.
Число миноров первого порядка совпадает с общим числом элементов исходной матрицы
Рассмотрим конкретный пример
Общее число миноров первого порядка данной матрицы А равно
. Например,
Максимальный порядок миноров данной матрицы равен двум.
Общее число миноров второго порядка равно
. Например,
Рассмотрим теперь квадратную матрицу размера n n
Вычеркнем в ней все элементы i-й строки и j-го столбца. Оставшиеся элементы образуют квадратную матрицу размера (n–1) (n–1). Определитель этой матрицы будет минором (n–1) порядка исходной матрицы А.
57
Например, вычеркнем в матрице А первую строку и второй столбец и получим следующий минор (n–1) порядка исходной матрицы
Минор обозначаем по номеру элемента, который стоит на пересечении вычеркиваемой строки и вычеркиваемого столбца. В нашем случае это элемент a12.
Алгебраическим дополнением элемента aij квадратной матрицы порядка n называется число, вычисляемое по формуле: Aij = (–1)i+j Mij, т. е., если сумма номеров строки и столбца — четная, алгебраическое дополнение будет совпадать с соответствующим минором, а если нечетная, то алгебраическое дополнение и минор будут иметь разные знаки.
Используя понятие алгебраического дополнения можно сформулировать общее правило вычисления определителя n-го порядка. Он вычисляется с помощью формул разложения по элементам какой-либо строки или какого-либо столбца. Всего существует 2n формул разложения определителя (по элементам n-строк и n-столбцов) [ , 19, 29].
Например, приведем разложение по элементам первой строки и второго столбца:
То есть каждый элемент строки (столбца) умножается на соответствующее алгебраическое дополнение.
58
Теоретически с помощью формул разложения можно вычислить определитель квадратной матрицы любого порядка, но реально эти формулы используются для нахождения определителей не выше 4-го порядка. Объем вычислений можно несколько сократить, если использовать свойства определителей.
Из формул разложения следуют приведенные нами выше правила вычисления определителей второго и третьего порядков.
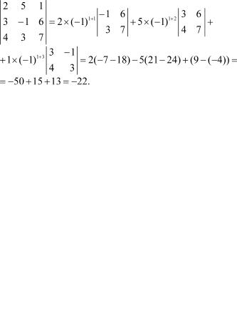
Рассмотрим конкретные примеры вычисления определителей.
В данном примере мы разложили определитель по элементам первой строки.
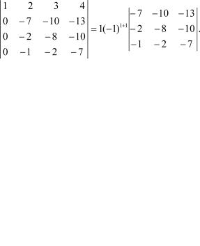
Найдем определитель 4-го порядка
К этому определителю сначала применим свойство номер 7. Первую строку определителя умножим последовательно на (–4); (– ); (–2) и сложим со 2-й; -й и 4-й строками. В результате получим
59
Полученный определитель разложим по элементам 1-ого столбца
К полученному определителю вновь применим свойство номер 7. Умножим последовательно третью строку на (–2) и на (–7) и сложим со второй и первой строчками. Получим
Последний определитель разложим по элементам первого столбца, т. е.
Теперь рассмотрим обратную матрицу и правило ее вычисления.
Квадратная матрица А называется вырожденной, если ее
определитель равен нулю, т. е. det A = 0.
В противоположном случае (det A 0) матрица А является невырожденной. А любой невырожденной матрице А соответствует единственная обратная матрица A–1.
Причем выполняется равенство
A–1 A = A A–1 = E
Приведем алгоритм нахождения обратной матрицы [1 , 19]. 1. Вычислить определитель матрицы А и убедиться, что он
не равен нулю.
60