Материал: Аппроксимационные методы измерений периодических сигналов

Внимание! Если размещение файла нарушает Ваши авторские права, то обязательно сообщите нам

.7 Метод измерения интегральных параметров по мгновенным значениям входных и дополнительных сигналов, сдвинутых на произвольный угол

Метод основан на том, что в любой момент времени одновременно измеряют три мгновенных значения напряжения и тока, при том вторые мгновенные значения напряжения и тока сдвинуты в отношении первых на угол Δα, а третьи мгновенные значения напряжения и тока отличны относительно вторых на угол Δα. ИПГРС определяют по измеренным мгновенным значениям сигналов.

Если сигналы напряжения и тока в исследуемых цепях имеют гармонические модели, то их мгновенные значения равняются:

 (2.87)

где ,  - амплитудные значения напряжения и тока; ,  - начальные фазы сигналов напряжения и тока.

Временные диаграммы, поясняющие метод, приведены на рисунке 2.36.

Рис. 2.36. Временные диаграммы, поясняющие метод

ИПГРС в соответствии с (2.87) определяются в соответствии выражениям:

среднеквадратические значения СКЗ напряжения и тока:

; (2.88)

; (2.89)

активная (АКТМ) и реактивная (РКМ) мощности:

; (2.90)

. (2.91)

Для анализа погрешностей из-за отклонений реальных сигналов от гармонической модели используют рассмотренную выше методику. Тогда в соответствии с (2.87) - (2.90) относительные погрешности определения СКЗ сигналов и приведенные погрешности измерения АКМ и РЕМ будут равняться:

;

;

;

.

Анализ данных выражений поясняет, что относительная погрешность измерения СКЗ напряжения зависит только от спектра сигнала, временного интервала Δt и угла сдвига фазы ФCБ Δα. Погрешности определения остальных параметров зависит еще и от угла сдвигов фазы между напряжениями и током φ.

При проветке метода для формирования дополнительных сигналов напряжения и тока используют фазосдвигающие блоки. Из-за не идеальности ФСБ возможно появление погрешности по модулю блока, что может вести к большой потери точности измерений ИПГРС.

Если брать, что погрешность по модулю ФСБ1 и ФСБ2 в канале напряжения, ФСБ3 и ФСБ4 в канале тока все равны, то считается, что амплитудные значения сигналов на выходе ФСБ1 (ФСБ2) не похожи на амплитуду сигнала на их входе на величину ΔUm, а амплитудные значения сигналов на выходе ФСБ3 (ФСБ4) отличаются от амплитуды сигнала на их входе на значение ΔIm.

В таком случае мгновенные значения дополнительных напряжений и токов будут иметь вид:

; ;

; .

Одним из главных недостатков средств измерений, реализующих данный метод и использующих мгновенные значения как входного, так и дополнительного напряжений, будут погрешности по напряжению (погрешность по модулю) ФСБ.

В том случае, если амплитудное значение напряжения на выходе фазосдвигающего блока отличное от амплитуды входного сигнала на величину , то мгновенные значения дополнительного сигнала будут иметь вид:

, .

В том случае для характеристики точности измерения ИХГРС можно рассматривать методику определения результирующей погрешности, как погрешности вычисления значения функции, аргументы которой заданы близко, с погрешностями, соответствующими разности амплитудных значений сигнала на входе и выходе ФСБ.

Если думать, что мгновенные значения входного напряжения измерены без погрешности, то возможно определить конечные значения абсолютных погрешностей измерения СКЗ напряжения и тока, АКТМ и РКМ:

; (2.92)

; (2.93)

; (2.94)

. (2.95)

Используя (2.87) - (2.91) и абсолютные погрешности (2.92) - (2.95), можно определить относительные погрешности определения СКЗ напряжения и тока и АКМ и РЕМ:

; (2.96)

; (2.97)

; (2.98)

, (2.99)

где:

.

Характеристика выражения (2.96) указывает, что погрешность измерения СКЗ напряжения зависит от погрешности по модулю фазо-сдвигающего блока hm, угла сдвига ФСБ Δα и интервала времени Δt.

Исходя из выражений (2.97) - (2.99) следует, что погрешности определения СКЗ тока, АКТМ и РКМ зависят не только от hm, Δα и Δt, но и угла сдвига фазы между напряжением и током φ.

На рис. 2.37 видны графики зависимости относительной погрешности определения СКЗ напряжения от Δα и ωΔt в соответствии с (2.97) при hm=0,1%.

Рис. 2.37. Графики зависимости δUскз от Δα и ωΔt

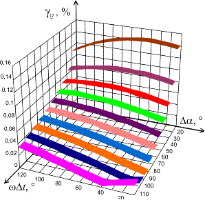
На рис. 2.38 - 2.40 показаны графики зависимостей относительной погрешности определения СКЗ тока и приведенных погрешностей измерения АКТМ и РКМ от Δα и ωΔt при hm=0,1% для φ=0°.

Рис. 2.38. Графики зависимости δIскз от Δα и ωΔt для φ=0°

Рис. 2.39. Графики зависимости γP от Δα и ωΔt для φ=0°

Рис. 2.40. Графики зависимости γQ от Δα и ωΔt для φ=0°

Анализ рис. 2.37 - 2.40 указывает на существенную зависимость погрешностей определения ИХГРС от угла сдвига фазы ФСБ Δα и соотношения между интервалами времени Δt и периодами сигналов, то есть ωΔt. При том меньшие значения погрешностей, в общем случае, имеют место быть при ωΔt=60÷100º.

При малых значениях ωΔt погрешности определения СКЗ сигналов и АКТМ в большей мере зависят от угла Δα.

.8 Основные результаты и выводы

. Рассмотренные в работе исследования показывают, что для определения интегральных параметров периодических сигналов может быть успешно адаптирован аппроксимационный подход, который заключается в определении информативных параметров по отдельным мгновенным значениям сигналов, не связанным с периодом сигнала, в предположении их соответствия известным моделям с последующей оценкой погрешностей, обусловленных отклонением принятых моделей от реальных сигналов

. Анализ методов измерения интегральных параметров на основе использования мгновенных значений ортогональных составляющих сигналов показал, что всем методам присуща существенная погрешность, обусловленная отклонением реального сигнала от гармонической модели.

При этом наименьшие значения погрешностей обеспечивает метод, основанный на определении интегральных характеристик по двум мгновенным значениям напряжения и одному мгновенному значению тока.

. При реализации рассмотренных методов могут возникнуть погрешности, обусловленные не идеальностью фазосдвигающих блоков, осуществляющих формирование дополнительных сигналов.

. Наименьшее время измерения обеспечивает пятый метод определения ИПГРС по мгновенным значениям ортогональных составляющих сигналов, измеренным в произвольный момент времени.

. Исключение частотной погрешности, приводящей к отклонению угла сдвига фазы дополнительного сигнала от 90º, обеспечивают методы, основанные на формирование дополнительных сигналов, сдвинутых относительно входных на произвольный угол.

. Проведенный анализ показал, что для повышения точности измерения необходимо разработать новые аппроксимационные методы и системы определения интегральных параметров при сохранении высокого быстродействия.

3. Разработка и исследование методов и систем измерения параметров гармонических сигналов с улучшенными метрологическими характеристиками

В третьей главе рассматриваются и исследуются новые методы и средства решения ИПГРС, реализация которых гарантирует повышение точности измерения. Как было замечено выше, значительным недостатком информационно-измерительных систем, реализующих методы, использующие формирование дополнительных ортогональных сигналов, является частотная погрешность фазосдвигающих блоков. Погрешность заключается в отклонении угла сдвига дополнительного сигнала от 90° при изменении частоты входного сигнала.

3.1 Метод измерения интегральных параметров на основе сравнения мгновенных значений гармонических сигналов, распределенных в пространстве

Значительное сокращение времени измерений обеспечивает методы, основанные на формировании дополнительных сигналов, сдвинутых по фазе на любой, в общем случае, угол относительно входного сигнала, и определении интегральные характеристики по мгновенным значениям входного и дополнительного сигнала. При этом проиходит пространственное разделение мгновенных значений сигналов.

Новый метод измерений ИПГРС исключает влияние частотной погрешности на конечный результат определения интегральных параметров. В методе используется формирование двух дополнительных сигналов, сдвинутых на одинаковые произвольные (в общем случае) углы, и сравнение их мгновенных значений.

Метод основан на формировании двух дополнительных сигналов напряжения и тока, сдвинутых по фазе на углы Δα и 2Δα относительно входных, и сравнении основного и дополнительных сигналов напряжения и тока. Притом, в момент равенства мгновенных значений основных и, сдвинутых относительно него на 2Δα, дополнительного сигнала напряжения измеряют мгновенное значение напряжений, сдвинутых относительно основного сигнала на какой то угол Δα. В этот же момент времени измеряется мгновенное значение дополнительных сигналов тока, сдвинутых относительно основного сигнала на Δα. В момент равенства мгновенных значений основного и, сдвинутого относительно него на 2Δα, дополнительного тока измеряют точное значение сигнала тока, сдвинутого относительно главного сигнала на угол Δα. ИПГРС определяют по измеренным мгновенным значениям сигналов напряжения и тока.

Временные диаграммы, поясняющие метод, приведены на рисунке 3.1.

Рис. 3.1. Временные диаграммы, поясняющие метод

В момент времени , когда , мгновенное значение главного сигнала напряжения  (где  - интервал времени, пропорциональный начальной фазе сигнала), а мгновенные значения первого и второго дополнительных сигналов будут равнятся:  и .

Равенство мгновенных значений сигналов  выполняется в том случае, если  (), то есть, когда  или , где l=0, 1. Отсюда .

Среднеквадратическое значение напряжения равняется:

. (3.1)

В момент времени  мгновенное значение дополнительного сигнала тока  будет равняться:


В момент времени , когда , по принципу с напряжением, мгновенные значения основногых и дополнительных сигналов будут равны: ;  и  (где  - интервал времени между переходом сигнала  через ноль до момента времени ).

Равенство мгновенных значений сигналов  выполняется в том случае, когда , то есть, когда  или . Отсюда .

Среднеквадратическое значение тока равняется:

. (3.2)

Активная и реактивная мощности определяются следующими выражениями:

 (3.3)

 (3.4)