Материал: Аппроксимационные методы измерений периодических сигналов

Внимание! Если размещение файла нарушает Ваши авторские права, то обязательно сообщите нам

Если в момент времени  мгновенное значение тока , то это означает, что .

В этом случае определение угла сдвига фаз производится таким образом.

Если измерение мгновенного значения напряжения  вышло раньше, чем мгновенного значения тока  и знаки равны, т.е. , то . Если измерение  произошло прежде, чем  и знаки отличны, то , т.е. .

Если измерение мгновенного значения тока  произошло прежде, чем мгновенного значения напряжения  и знаки равны, то . Если измерение  произошло прежде, чем  и знаки отличны, то , т.е. .

При углах сдвига фаз между сигналами напряжения и тока φ>Δα рассмотренный метод обеспечивает время измерения , где ;  - промежуток времени с момента начала измерений до момента равенства основного и, сдвинутого по отношению его на 2Dα, дополнительного сигнала напряжения.

Схема ИИС, реализирующий метод, показана на рисунке 3.2.

Рис. 3.2. ИИС, реализующая метод

ИИС содержит: первые преобразователи напряжения ППН и тока ППТ, четыре фазосдвигающих блока ФСБ1 - ФСБ4, осуществляющие сдвиг сигналов на угол Dα, два сравнивающих устройства СУ1 и СУ2, два аналого-цифровых преобразователя АЦП1 и АЦП2, контроллер КНТ, шины управления ШУ и данных ШД.

В моменты времени  (рис. 3.1), когда сигнал напряжения  и  будут равны, задействовано сравнивающее устройство СУ1, на выходе которого образкется импульс, поступающий на вход прерывания КНТ. Контроллер пускает АЦП1, на входе которого в этот промежуток времени действует сигнал напряжения , равный амплитудному значению входного напряжения. Аналого-цифровой преобразователь образует этот сигнал в код, который сохраняется в оперативную память КНТ. В тот же момент с помощью АЦП2 производится трансформация в код мгновенного значений сигнала, пропорциональных мгновенному значений тока .

В момент времени  (рис. 3.1), когда сигналы напряжения, пропорциональные сигналу тока  и  будут равны, срабатывают сравнивающие устройства СУ2, на выходе которых формируется импульс, поступающий на вход прерывания КНТ. Контроллер пускает АЦП2, на входе котортого в это промежуток времени срабатывает сигнал напряжения, пропорциональный мгновенному значению , т.е. амплитудному значению входного сигнала тока. Аналого-цифровой преобразователь образует этот сигнал в код, который сохраняется в оперативную память КНТ.

В КНТ вычисляются в соответствии с выражениями (3.1) - (3.4).

.2 Метод измерения интегральных характеристик гармонических сигналов с коррекцией погрешности формирования дополнительного сигнала

Рассмотренный выше метод обеспечивает исключение влияния частотной погрешности ФСБ. Однако при реализации подобных методов неизбежно возникает погрешность по модулю фазосдвигающих блоков, обусловленная отличием амплитуд входного и дополнительных сигналов.

Разработан новый метод к определению ИПГРС, исключающийся данный вид погрешности и основанный на использовании коррекции мгновенных значений сигналов.

Метод заключается в том, что когда будет переход входного тока через ноль измеряют первое мгновенное значение входного напряжения; во время перехода дополнительного сигнала напряжения, сдвинутого по фазе относительно входного на любой (в общем случае) угол Δα, через ноль одновременно измеряется второе мгновенное значение входного напряжения и первое мгновенное значение тока; в момент перехода входного сигнала напряжения через ноль измеряется второе мгновенное значение тока. ИПГРС определяют по измеренным мгновенным значениям сигналов.

Временные диаграммы, поясняют метод, представлены они на рисунке 3.3.

Рис. 3.3. Временные диаграммы, поясняющие второй метод

При гармонических моделях входной и дополнительный сигналы напряжения и тока равны следующим выражениям:

; ; ,

где ,  - амплитудные коэфициенты напряжения и тока; ω - угловая частота входного сигнала; φ - угол сдвига фаз между входными сигналами напряжения и тока.

В момент времени t1 перехода сигнала тока через ноль, мгновенное значение входного напряжения .

В момент времени t2 перехода дополнительного напряжения через ноль, мгновенные значения входного напряжения и тока равны:

; .

В момент времени t3 перехода входного напряжения через ноль, мгновенное значение тока .

Определим следующий коэффициент , выражающий соотношение между амплитудой значения, напряжения и тока.

С помощью этого коэффициента возможно вычислить значение напряжения .

Использовать мгновенные значения сигнала и выбирать угол сдвига фазы дополнительного сигнала Δα<90°, возможно получить соотношения для определения основных ИПГРС:

среднеквадратические значения СКЗ напряжения и тока:

; (3.5)

; (3.6)

активная и реактивная мощности:

; (3.7)

. (3.8)

Определение ИПГРС в соответствии с (3.5) - (3.7) справедливо только в том случае, если , где p=0; 1.

В случае, если , измерение параметров производится следующим образом.

Временные диаграммы для угла сдвига фаз между напряжением и током φ=0 приведены на рисунке 3.4.

Рис. 3.4. Временные диаграммы, поясняющие метод при φ=0

Когда в момент времени  входные сигналы напряжения и тока одновременно становятся больше чем ноль, то измеряется мгновенное значение сигнала через произвольный (в общем случае) интервал времени Δt.

Через интервал времени Δt (в момент времени ) мгновенные значения входного напряжения и тока будут равны:

; .

Через интервалы времени 2Δt (в момент времени ) мгновенные значения сигнала примет вид:

; .

Использовать мгновенные значения сигналов, можно определив СКЗ напряжения и тока:

; .

Если знаки вторых мгновенных значений входного сигнала напряжения и тока совпадают (), то φ=0. При этом активная мощность , а реактивная мощность Q=0.

Если вторые мгновенные значения входных сигналов напряжения и тока имеют противоположные знаки (), то φ=π. При том АКТМ , а РКМ Q=0.

Схема ИИС, использующего метод, приведена на рисунке 3.5.

Рис. 3.5. ИИС, реализующая второй метод

ИИС содержит: первые преобразователи напряжения ППН и тока ППТ, фазосдвигающий блок ФСБ, дающий сдвиг сигнала напряжения на угол Dα, два нуль-органа НО1 и НО2, два аналого-цифровых преобразователя АЦП1 и АЦП2, контроллер КНТ, шины управления ШУ и данных ШД.

В этом методе не используют мгновенные значения дополнительного сигнала напряжения, а только его переход через ноль, что исключает погрешность по модулю фазосдвигающего блока. Кроме того, углы сдвига фазы ФБ Δα могут быть выбраны произвольными 0<Δα<90°, что не приведет к угловой погрешности фазосдвигающего блока.

3.3 Основные результаты и выводы

. Разработан первый метод определения ИПГРС на основе сравнения мгновенных знаков гармонических сигналов не определяет выявление свойственных точек сигналов, что решает сократить время измерений при больших значениях угла сдвига фаз между напряжением и током.

. Осуществление разработанного метода измерения ИПГРС помогает исключить частотную погрешность фазосдвигающих блоков, также уменьшить погрешность из-за отклонения метрологических характеристик аналого-цифровых преобразователей, так как разумеет собой использование только по одному АЦП в путях напряжения и тока.

. Второму разработанному методу сопутствует полное исключение погрешности по модулю фазосдвигающего блока за счет коррекции мгновенного значения напряжения.

. Реализация этого метода обеспечивает сокращение других затрат, поскольку также возможно использование только по одному АЦП в каналах напряжения и тока. Кроме того, в данном случае используется только один фазосдвигающий блок.

4. Анализ погрешностей разработанных методов и систем измерения параметров гармонических сигналов

.1 Анализ погрешностей методов определения интегральных параметров из-за отклонения реального сигналов от гармонической модели

Разработанные методы предназначены для выявления интегральных характеристик в цепях с гармоническими напряжениями и токами. Потому есть необходимость оценки погрешности метода из-за несоответствия модели реальному сигналу.

Для анализа этого вида погрешности есть смысл взять рассмотренную в первой главе методику свойства погрешности результата измерения интегральной свойств как функции, аргументы которой заданы приблизиткльно с погрешностью, соответствующей отклонению модели от реального сигнала, с помощью дифференциала этой функции.

Для первого метода абсолютная погрешность определения СКЗ напряжения и тока, АКТМ и РКМ в соответствии с выражениями (3.1) - (3.4) равна:

 (4.1)

 (4.2)

 (4.3)

 (4.4)

где DU21, DI21 и DI22 - отклонение мгновенного знаков реальных сигналов напряжения и тока от гармонической модели в соответствующий момент времени.

Если считать, что абсолютная погрешность аргументов соответствуюет наибольшему отклонению в момент времени t1 и t2, то предельные абсолютные погрешности принимают вид:

 (4.5)

 (4.6)

Используя (4.1) - (4.6), получим значение для относительной погрешности определения СКЗ напряжения и тока и значение для приведенной погрешности определения активной и реактивной мощностей:

 (4.7)

 (4.8)

 (4.9)

 (4.10)

Анализ выражений (4.7) - (4.10) показывает, что погрешность определений ИПС не зависит от угла сдвига дополнительных сигнала напряжений и тока относительно выходных сигналов. Кроме того, погрешность измерения СКЗ сигнала зависят только от спектра сигнала.

Зная спектры реального сигнала, с помощью выражений (4.7) - (4.10) можно оценить предельное значение относительного измерения СКЗ напряжения и тока.

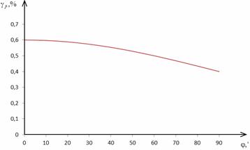
На рис. 4.1 и 4.2 привидены графики зависимостей γP и γQ от угла сдвига фаз между напряжением и током, при возникновении в сигналах 1-й и 5-й гармоник с hu5=0,002 и hi5=0,004.

Рис. 4.1. График зависимости γP от φ при наличии в сигналах 1-й и 5-й гармоник с hu5=0,002 и hi5=0,004

Рис. 4.2. График зависимости γQ от φ при наличии в сигналах 1-й и 5-й гармоник с hu5=0,002 и hi5=0,004

Анализ выражений (4.7) - (4.10) и рис. 4.1 и 4.2 показывает, что при изменении формы сигнала возникает погрешность определения интегральных характеристик сигналов, значений которых значительно зависят от спектра сигнала и угла сдвига фаз между напряжением и током (кроме СКЗ сигналов).

С увеличением угла сдвига фаз φ приведенные погрешности измерения АКМ и РЕМ снижается и достигает минимального значения при φ=90°.

Если считать, что предельная абсолютная погрешность аргументов соответствуюет отклонению модели от реального сигнала, определяет через среднеквадратичную погрешность, то:

; (4.11)

. (4.12)

Если параметры первых гармоник реального сигнала совпадут с параметрами сигнала, соответствующего гармонической модели, то, в силу ортогональности тригонометрических функций, выражения (4.11) и (4.12) приведутся к виду: