тобто повторює рівняння (9.15). Для каскаду з температурною стабілізацією розрахунок параметрів підсилювального режиму вимагає застосування навантажувальної прямої саме для змінного струму за рівнянням (9.24) – пряма 2 рисунок 9.10.
Рисунок 9.10 – До графоаналітичного визначення параметрів режиму підсилення транзисторного каскаду
2 Будується вхідна навантажувальна характеристика каскаду, яка практично збігається з вхідною характеристикою БТ
IБ f (UБЕ ) при UКЕ 0.
116
3 На вхідній і вихідній навантажувальних характеристиках відмічається положення початкової робочої точки режиму спокою
(UБE0 , IБ0 , UKE0 , IK0 ), яку або задають, або вибирають з міркувань проектування.
4 Розгортаючи напругу UБE , знаходять відповідну зміну струму
IБ |
стосовно струму спокою |
IБ0 . Знаходять амплітуду |
ImБ (у разі |
|||||
потреби, |
усереднюючи |
верхню |
й |
нижню |
амплітуди: |
|||
ImБ |
|
ImБ1 ImБ2 |
). |
|
|
|
|
|
|
|
|
|
|
||||
|
|
|
2 |
|
|
|
|
|
5 Перенесенням точок В і С на вихідну навантажувальну пряму визначають на ній робочу ділянку струму бази, а також відповідні до
цієї ділянки зміни колекторної напруги UKE стосовно постійного рівня
UKE0 і струму IK відносно рівня IK0 . За допомогою усереднення визначають амплітуди UmK та ImK .
6 Використовуючи знайдені амплітуди UmБ , ImБ ,UmK , ImK за
формулами (9.17) – (9.21), розраховують параметри режиму підсилення. Існує також спосіб визначення параметрів режиму підсилення за допомогою h - параметрів. Для найпростішого транзисторного
підсилювача на низьких частотах маємо [1]:
KU |
|
|
h21RH |
|
|
|
|
; |
|||
|
|
|
|
|
|
|
|
||||
|
|
|
h11 RH (h11h22 h12h21) |
||||||||
|
|
|
KI |
h21 |
|
; |
|
|
|
||
|
|
|
1 R |
h |
|
|
|
|
|||
|
|
|
|
|
|
H 22 |
|
|
|
|
|
Rвх |
|
h11 RH (h11h22 h12h21) |
; |
||||||||
|
|
||||||||||
|
|
|
|
|
1 RH h22 |
|
|
|
|
|
|
Rвих |
|
|
h21 RГ |
|
. |
||||||
h11h22 h12h21 |
h22 RГ |
|
|||||||||
|
|
|
|
|
|
|
|||||
У наведених формулах RH - опір навантаження;
RГ - опір джерела вхідного сигналу.
117
ЛЕКЦІЯ 10
ДЕЯКІ РІЗНОВИДИ БІПОЛЯРНИХ ТРАНЗИСТОРІВ
10.1 Частотні властивості біполярних транзисторів
Залежність параметрів БТ від частоти зумовлена інерційністю процесів дифузії неосновних носіїв у базі, а також впливом ємностей переходів і розподільного опору бази. Ці фактори обмежують частотний діапазон транзисторів. Наприклад, робочі частоти сплавних транзисторів не перевищують 20-30 МГц.
При низьких частотах період зміни напруги на ЕП значно більший за час прольоту неосновних носіїв через базу. Внаслідок цього градієнти концентрацій носіїв у базі біля емітера і колектора
змінюються одночасно, і тому струм IE , IK та IБ синфазні, а
коефіцієнти передачі струму h21Б і h21E є дійсними величинами.
При зростанні частоти період зміни напруги на ЕП зменшується і стає сумірним з часом дифузії неосновних носіїв через базу. Це
призводить до того, що струм колектора IK відставатиме від струму емітера IE за фазою (рисунок 10.1).
Крім того, оскільки впродовж півперіоду прямої напруги на ЕП максимальний згусток інжектованих до бази неосновних носіїв не встигає досягти колектора, їх концентрація біля емітера буде меншою, ніж у базі. У базі виникає градієнт концентрації неосновних носіїв, який викликає їх рух у бік емітера і зменшення колекторного струму (рисунок 10.1). Отже, на високих частотах коефіцієнти передачі струму
h21Б та h21E набувають комплексного характеру і зменшуються за модулем при збільшенні частоти.
118
Рисунок 10.1 – Струми IE та IK БТ на високих частотах
Для ССБ коефіцієнт передачі струму емітера
h |
( j ) |
IK |
|
|
h |
21Б |
( ) |
|
ej h21Б ( ) |
, |
(10.1) |
|
|
|
|||||||||||
|
||||||||||||
21Б |
|
IE |
|
|
|
|
|
|
|
|
||
|
|
|
|
|
|
|
|
|
|
|
- комплексний коефіцієнт передачі струму емітера;
IE , IK - комплексні амплітуди струмів емітера і колектора. Для транзисторів
h |
( j ) |
h21Б |
|
|
|
|
h21Б |
|
|
|
. |
(10.2) |
|||||||
|
|
|
|
|
|
|
|
|
|
|
|
||||||||
21Б |
|
1 j |
|
|
|
|
1 j |
|
f |
|
|
||||||||
|
|
|
|
|
|
|
|||||||||||||
|
h |
Б |
fh |
|
|||||||||||||||
|
|
|
|
|
|
|
|
|
|
||||||||||
|
|
|
|
|
21 |
|
|
|
|
|
21Б |
|
|||||||
Модуль колекторного коефіцієнта передачі БТ в ССБ |
|
||||||||||||||||||
|
|
h21Б ( ) |
|
|
|
|
|
|
h21Б |
|
|
, |
(10.3) |
||||||
|
|
|
|
|
|
|
|
|
|||||||||||
|
|
|
|
|
|
|
|
|
|
|
|
|
|||||||
|
|
|
1 ( f |
/ fh |
)2 |
||||||||||||||
|
|
|
|
|
|
|
|
|
|
|
|||||||||
|
|
|
|
|
|
|
|
|
|
|
|
|
21Б |
|
|
|
|
|
|
де h21Б - значення коефіцієнта передачі струму на низьких частотах.
Аргумент коефіцієнта h21Б ( j )
h |
arctg( f / fh |
). |
(10.4) |
21Б |
21Б |
|
|
|
119 |
|
|
|
З |
формули (10.3) випливає, що на частоті f fh |
Б |
||||||
|
|
|
|
21 |
|||||
h |
( ) |
|
|
|
h21Б |
|
. Частота, на якій модуль коефіцієнта передачі струму |
||
|
|||||||||
|
|
|
|
||||||
|
|
|
|
|
|
||||
21Б |
|
|
|
2 |
|
|
|
||
|
|
|
|
|
|
|
|||
зменшується в 
2 раза, називається граничною частотою БТ. З формули (10.4) бачимо, що на граничній частоті зсув фаз між вхідним і
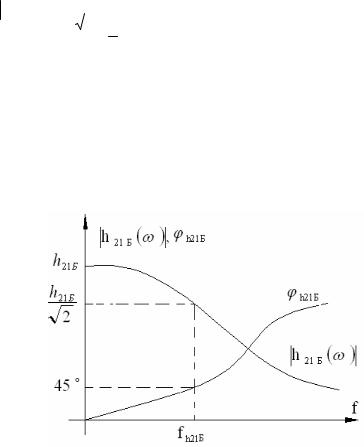
вихідним струмами дорівнює 45 . Частотні характеристики БТ в ССБ показано на рисунку 10.2.
Величину h |
1/(2 fh |
) називають сталою часу БТ в |
21Б |
21Б |
|
ССБ, і вона приблизно дорівнює середній тривалості дифузії неосновних носіїв через базу
h |
P (1 h21Б ), |
(10.5) |
21Б |
|
|
де P - середня тривалість життя дірок у базі.
Рисунок 10.2 – Частотні характеристики БТ у ССБ
Для ССЕ коефіцієнт передачі струму бази |
|
|||||
h |
( j ) |
IK |
|
h21E |
. |
(10.6) |
|
|
|||||
21E |
|
IБ |
|
1 j( f / fh21E ) |
|
|
|
|
|
|
|
||
Модуль правої частини формули (10.6)
120